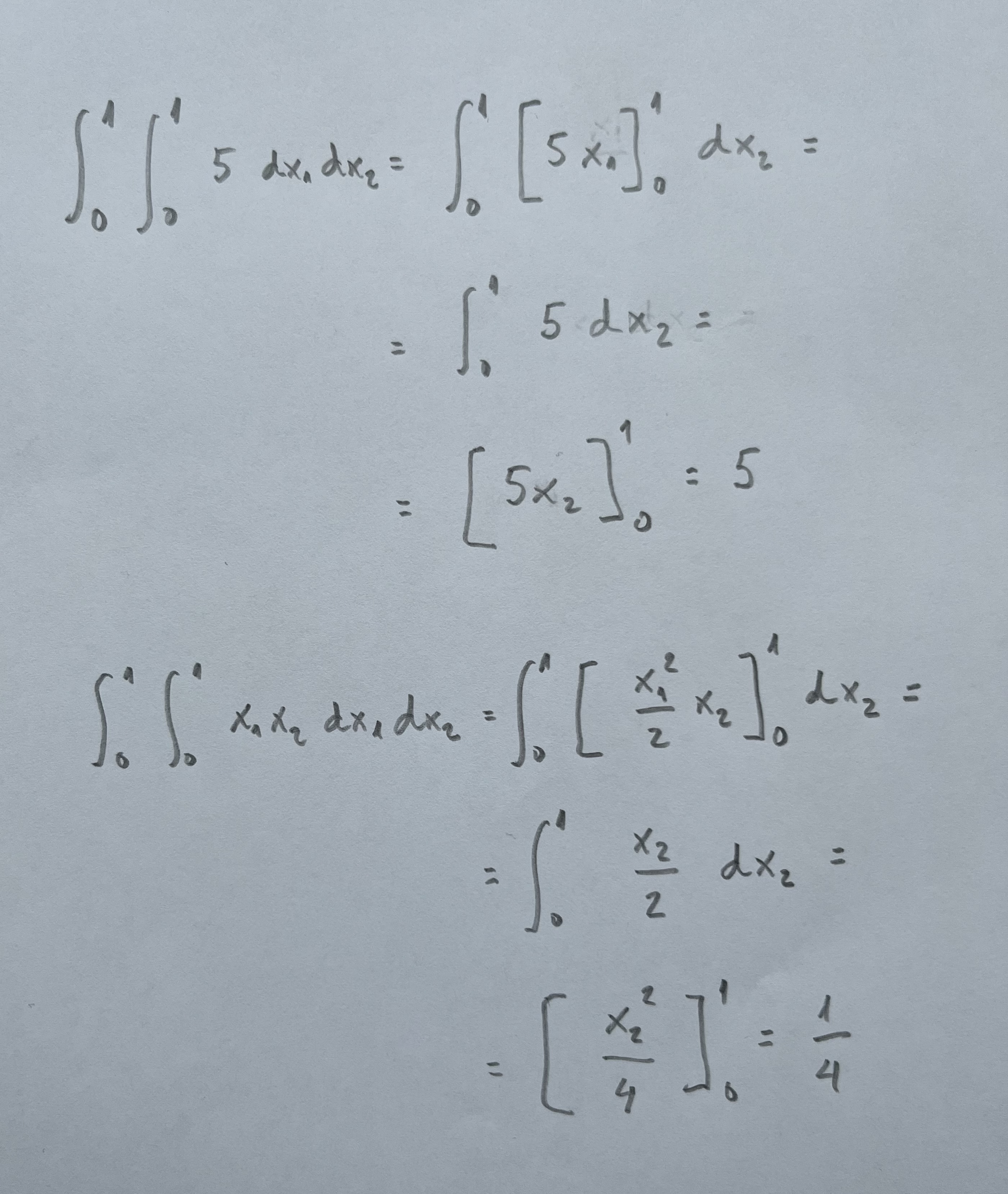
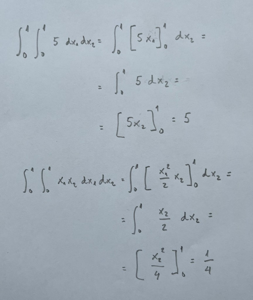
Integral definida en funciones de variable vectorial Deja un comentario Comparte esto: Compartir en X (Se abre en una ventana nueva) X Comparte en Facebook (Se abre en una ventana nueva) Facebook Me gusta Cargando...