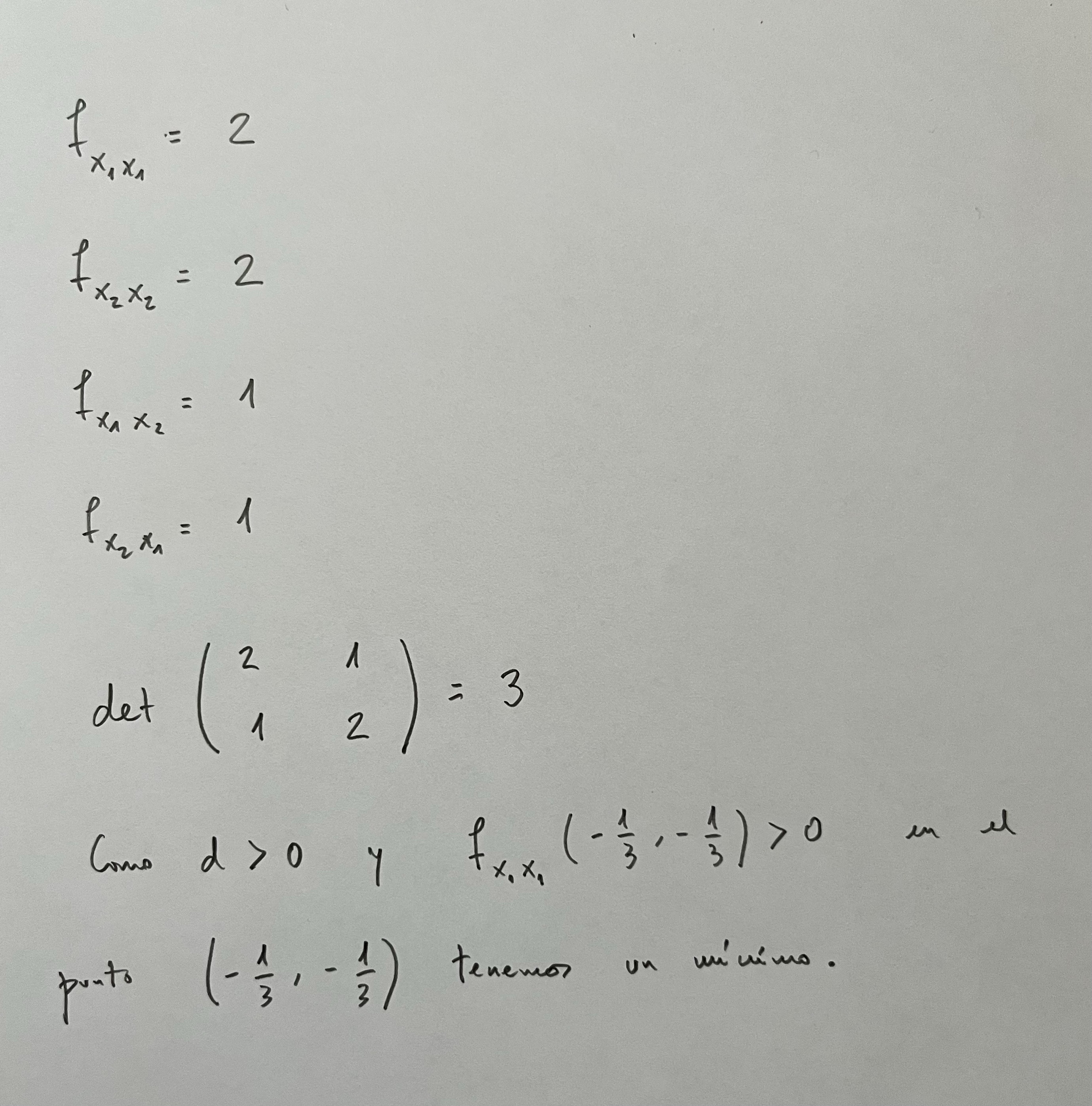
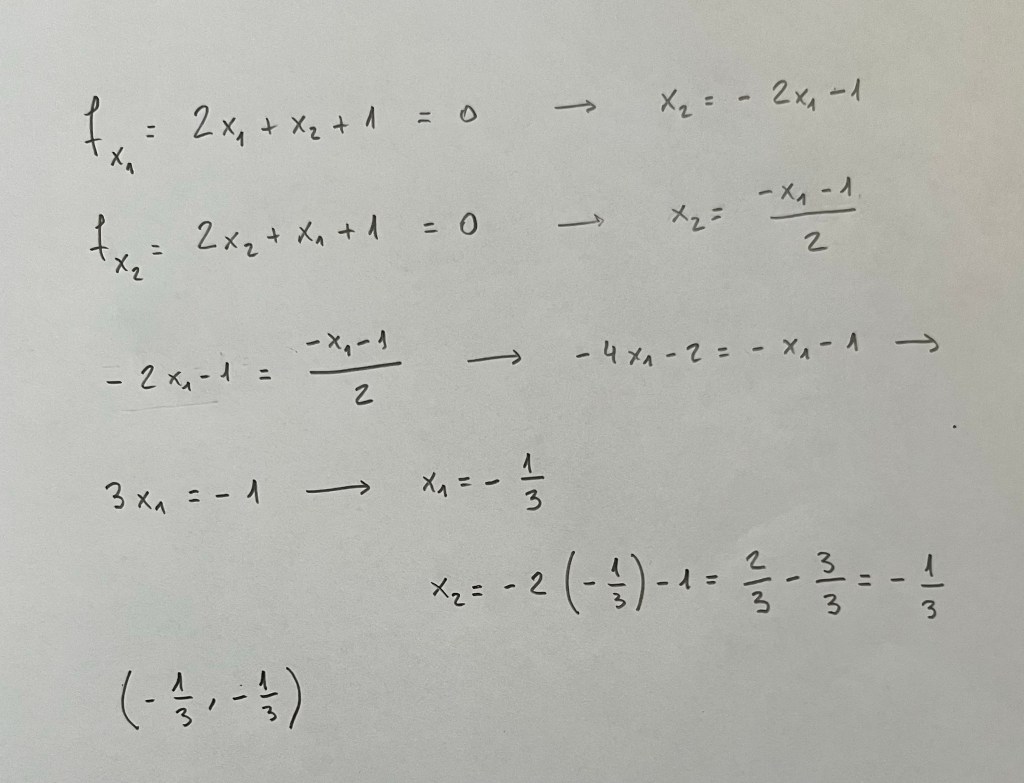
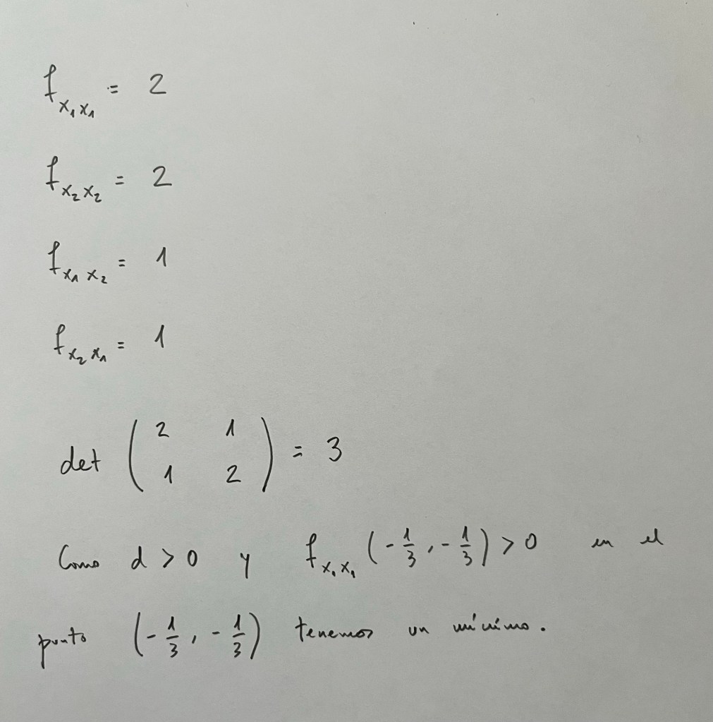
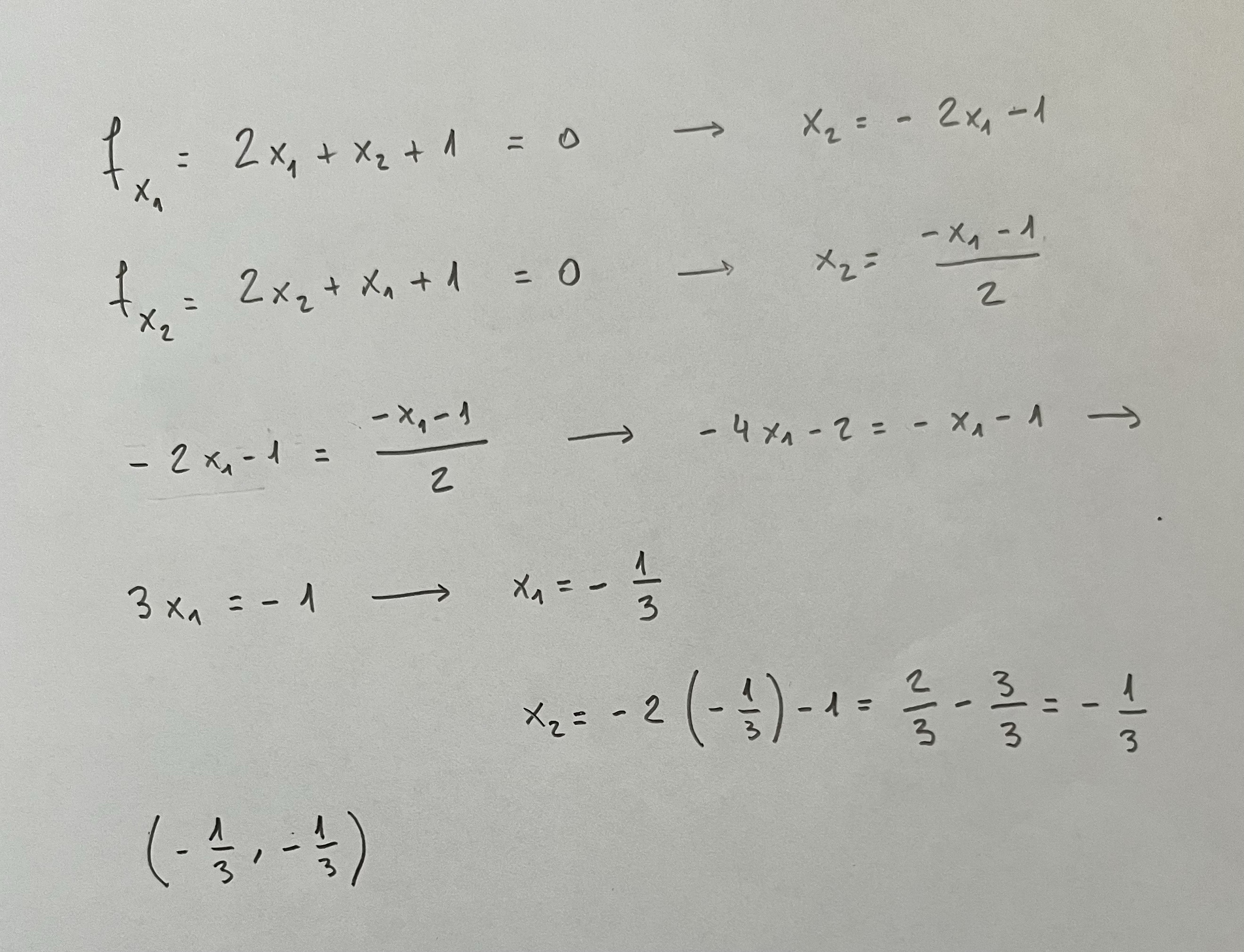
Máximo local, mínimo local y punto de silla en funciones de variable vectorial no lineales Deja un comentario Recordemos: Dos ejemplos de preguntas de examen: Comparte esto: Compartir en X (Se abre en una ventana nueva) X Comparte en Facebook (Se abre en una ventana nueva) Facebook Me gusta Cargando...