En matemáticas siempre estamos hablando de entidades. La diferencia es que estas entidades pueden ser cualesquiera: personas, empresas, planetas, células, libros, palabras. Y, también, hay una diferencia importante: que esas entidades están como en un segundo plano. El foco no está en ellas en cuanto tales, sino en las características de las que son portadoras.
Lo que nos interesa de esas entidades, pues, son sus características, sus propiedades, que es a lo que denominamos, en matemáticas, llamamos variables. Por ejemplo, si las entidades son personas nos interesa qué edad tienen, si tienen o no diabetes, cuántas unidades de helado consumen en un año, etc. Si son empresas nos interesan cuántos productos venden, cuántos empleados tienen, etc.
Las características entre ellas tienen relaciones, establecen conexiones. Por ejemplo, la altura y el pie que calza las personas, que son ambas variables, tienen relación. La renta de las personas y el consumo de jamón jabugo al año son variables también las dos y tienen una clara relación.
Los modelos son maquetas, son dibujos abstractos, hechos con material matemático, de las relaciones de las variables de las entidades.
Veamos, en varios pasos, el proceso de la modelización con un ejemplo en Economía:

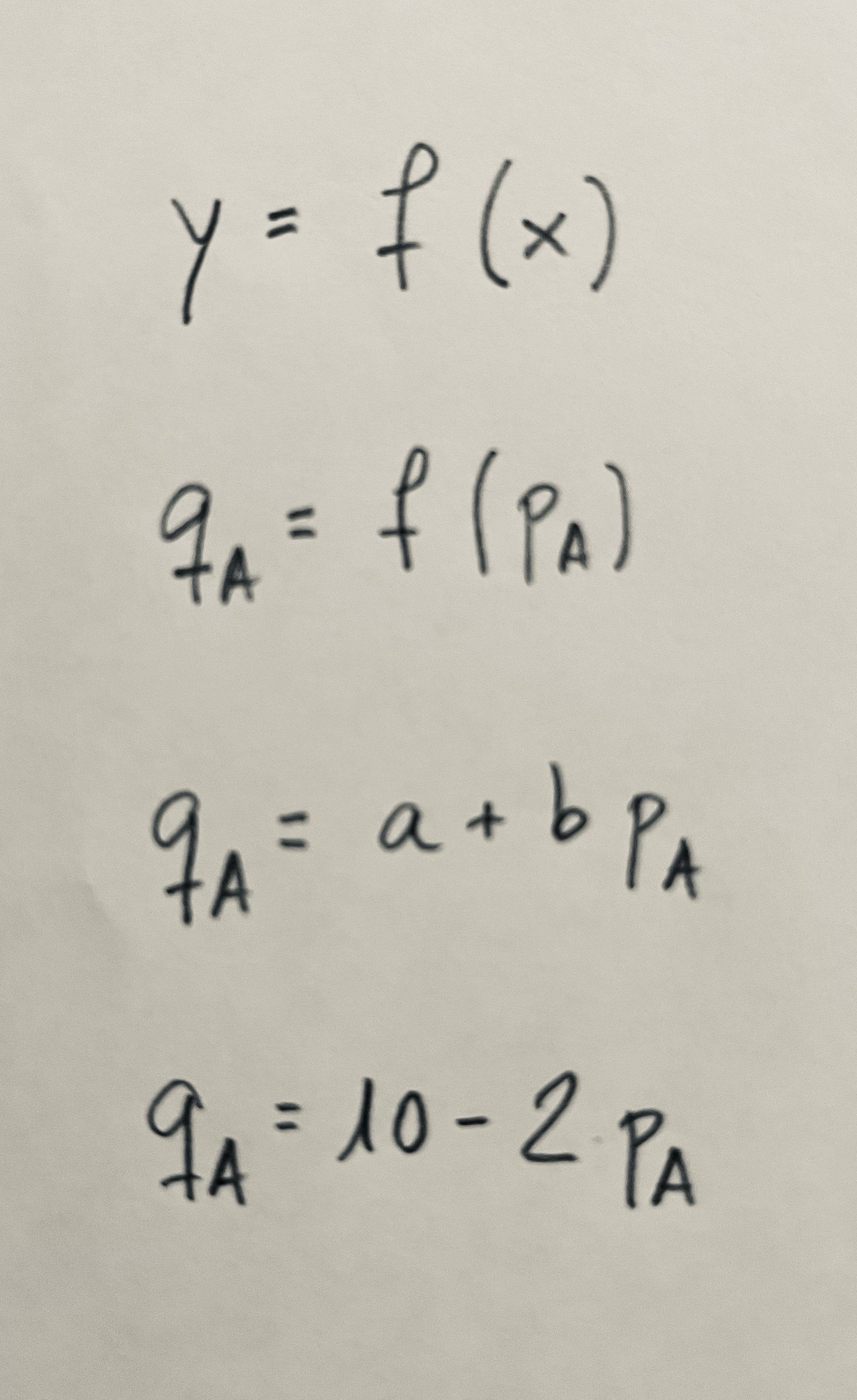
Se trata de una función de demanda de un producto A expresada en cuatro niveles distintos de abstracción o de concreción, expresada únicamente en función del precio de ese mismo producto.
La última expresión, que es la más concreta, la podemos entender mejor si manejamos el siguiente programa de Excel:

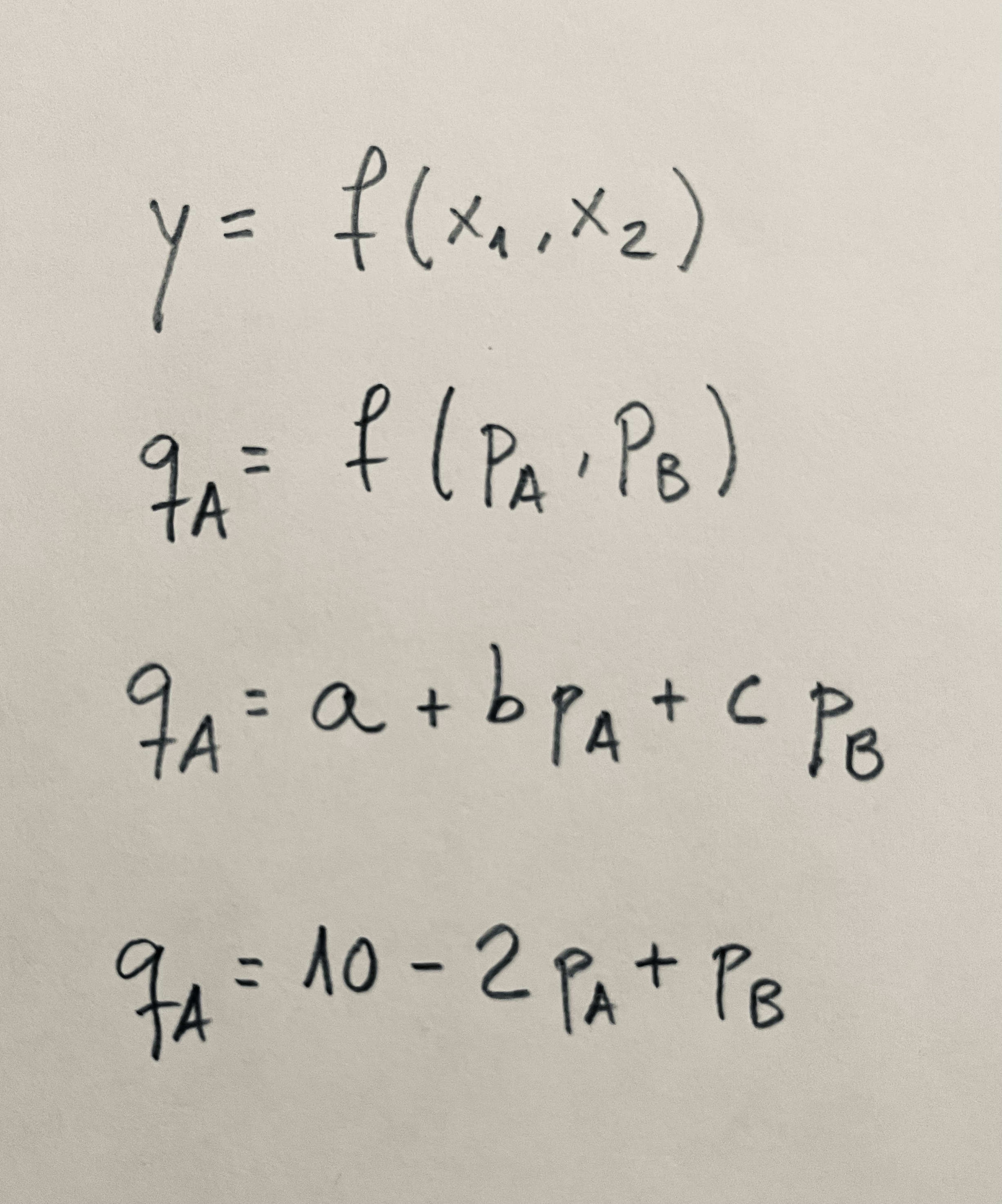
Veamos ahora un modelo de lo mismo pero con un elemento más:

Se trata de la misma función de demanda del producto A expresada, tambíen, en cuatro niveles distintos de abstracción o de concreción, expresada ahora en función del precio de ese mismo producto A y del precio de otro producto B.
Lo podemos entender mejor si manejamos el siguiente programa de Excel:

Veamos otro modelo con los mismos elementos, pero distinto:

Se trata de la misma función de demanda del producto A expresada ahora en función del precio de ese mismo producto A y de la renta, de las ganancias, del demandante.
Podemos manejar ese modelo con el siguiente programa de Excel:

Finalmente, veamos un modelo un poco más complejo:

Se trata de la misma función de demanda del producto A expresada ahora en función del precio de ese mismo producto, del precio del producto B y de la renta del demandante.
Podemos manejar ese modelo con el siguiente programa de Excel: