LA MATEMÁTICA Y LA ESTADÍSTICA: UNA ORQUESTA HECHA INSTRUMENTO

Unas gramáticas de la Gramática de la Matemática y de la Estadística. Jaume Llopis Pérez.

Saltar al contenido
  • PRESENTACIÓN DEL BLOG
  • PRESENTACIÓN DEL AUTOR
  • CURSO ESTADÍSTICA ESENCIAL (CIENCIAS DEL MAR Y CIENCIAS AMBIENTALES)
  • CURSO ESTADÍSTICA ESENCIAL (BIOMEDICINA)
  • CURSO DE ESTADÍSTICA APLICADA
  • CURSO DE ESTADÍSTICA BASADO EN ARTÍCULOS CIENTÍFICOS
  • CURSO DE ESTADÍSTICA simplificado
  • OTROS CURSOS
    • CURSO DE ESTADÍSTICA para Ciencias de la Salud (versión simplificada)
    • CURSO DE ESTADÍSTICA para Ciencias de la Salud
    • CURSO DE MATEMÁTICAS
    • CURSO ELEMENTAL DE MATEMÁTICAS
    • CURSO DE MATEMÁTICAS APLICADAS
    • CURSO DE ESTADÍSTICA Y PSICOLOGÍA
    • CURSO DE PROBABILIDADES Y ESTADÍSTICA
    • CURSO ELEMENTAL DE ESTADÍSTICA
    • CURSO DE ESTADÍSTICA MATEMÁTICA
    • CURSO ELEMENTAL DE ANOVA
    • CURSO ELEMENTAL DE ANÁLISIS MULTIVARIANTE
    • CURSO DE ESTADÍSTICA Y MEDICINA
  • TEMAS DE ESTADÍSTICA
  • COMPLEMENTOS
    • COMPLEMENTOS A UN CURSO DE ESTADÍSTICA
    • HERBARIO DE TÉCNICAS ESTADÍSTICAS
    • BASES DE DATOS
    • REFLEXIONES
    • ESTADÍSTICA Y MEDICINA
    • SOFTWARE
      • INTRODUCCIÓN AL SOFTWARE STATGRAPHICS
      • INTRODUCCIÓN AL SOFTWARE SPSS
      • INTRODUCCIÓN AL SOFWARE STATA
  • PROBLEMAS Y EXÁMENES
  • EJERCICIOS PRÁCTICOS
  • EJERCICIOS PRÁCTICOS CON ARTÍCULOS CIENTÍFICOS

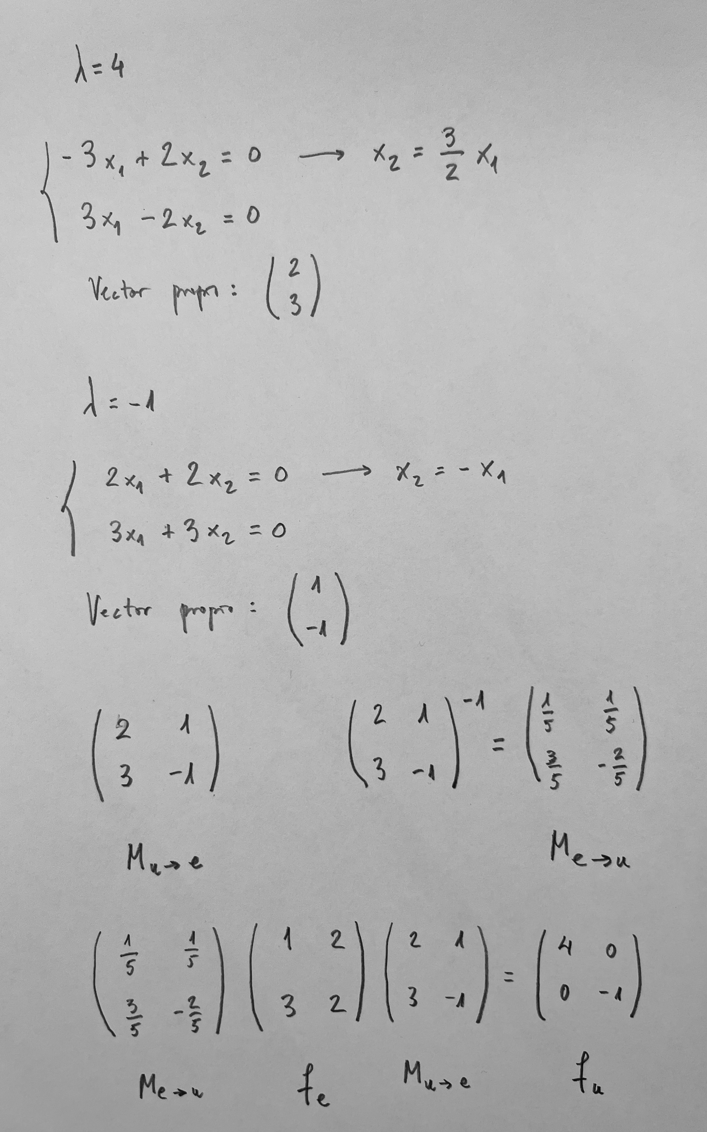
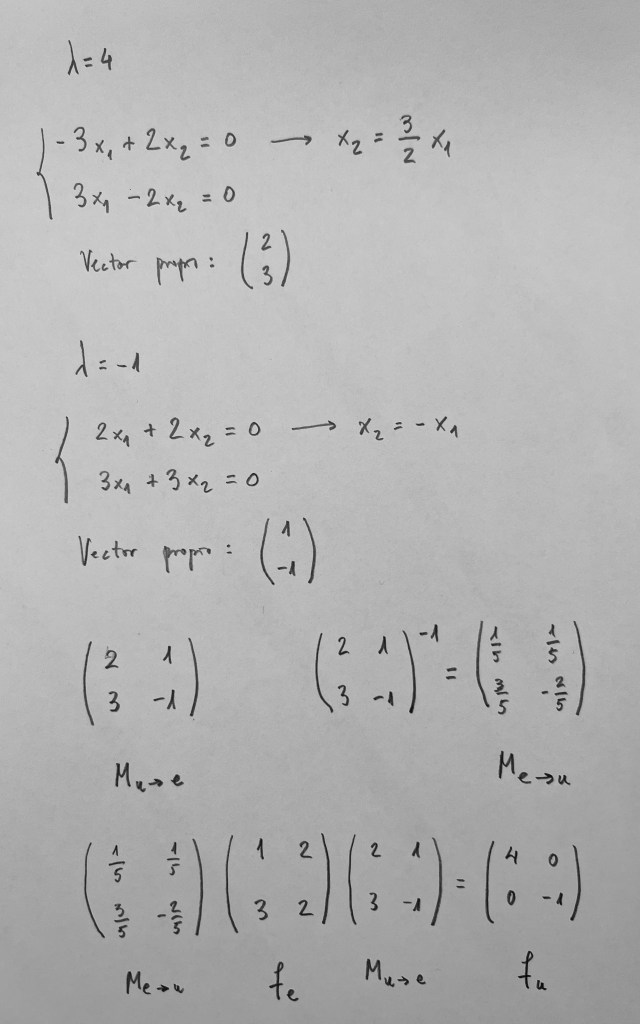
Función matemática 14: Matrices semejantes o similares

Deja un comentario

Comparte esto:

  • Compartir en X (Se abre en una ventana nueva) X
  • Comparte en Facebook (Se abre en una ventana nueva) Facebook
Me gusta Cargando...
Esta entrada fue publicada en Uncategorized el noviembre 7, 2022 por estadisticallopis.

Navegación de entradas

← Función matemática 13: Valores propios. Vectores propios. Matrices semejantes o similares Relación matemática 21: Primitivas de una función. Integral indefinida. Ecuaciones funcionales. Ecuaciones diferenciales →

Deja un comentario Cancelar la respuesta

Entradas recientes

  • Práctica de Análisis ROC y Regresión logística
  • Soluciones del Examen en Ciencias de la Salud 44
  • Examen de Estadística en Ciencias de la Salud 44
  • Soluciones Examen de Estadística en Ciencias de la Salud 43
  • Examen de Estadística en Ciencias de la Salud 43
Blog de WordPress.com.
  • Comentar
  • Rebloguear
  • Suscribirse Suscrito
    • LA MATEMÁTICA Y LA ESTADÍSTICA: UNA ORQUESTA HECHA INSTRUMENTO
    • Únete a otros 338 suscriptores
    • ¿Ya tienes una cuenta de WordPress.com? Inicia sesión.
    • LA MATEMÁTICA Y LA ESTADÍSTICA: UNA ORQUESTA HECHA INSTRUMENTO
    • Suscribirse Suscrito
    • Regístrate
    • Iniciar sesión
    • Copiar enlace corto
    • Denunciar este contenido
    • Ver la entrada en el Lector
    • Gestionar las suscripciones
    • Contraer esta barra

Cargando comentarios...

    %d