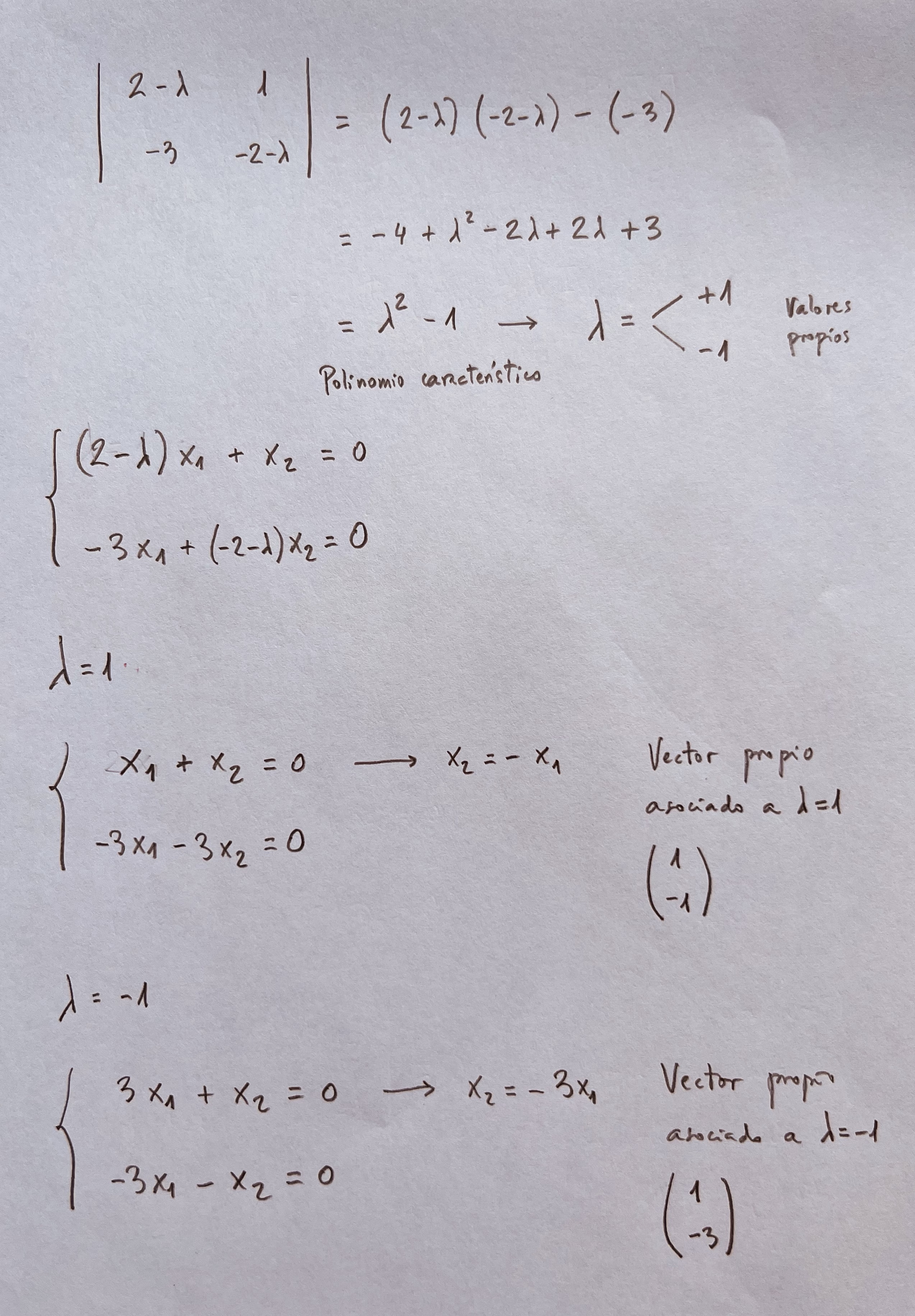
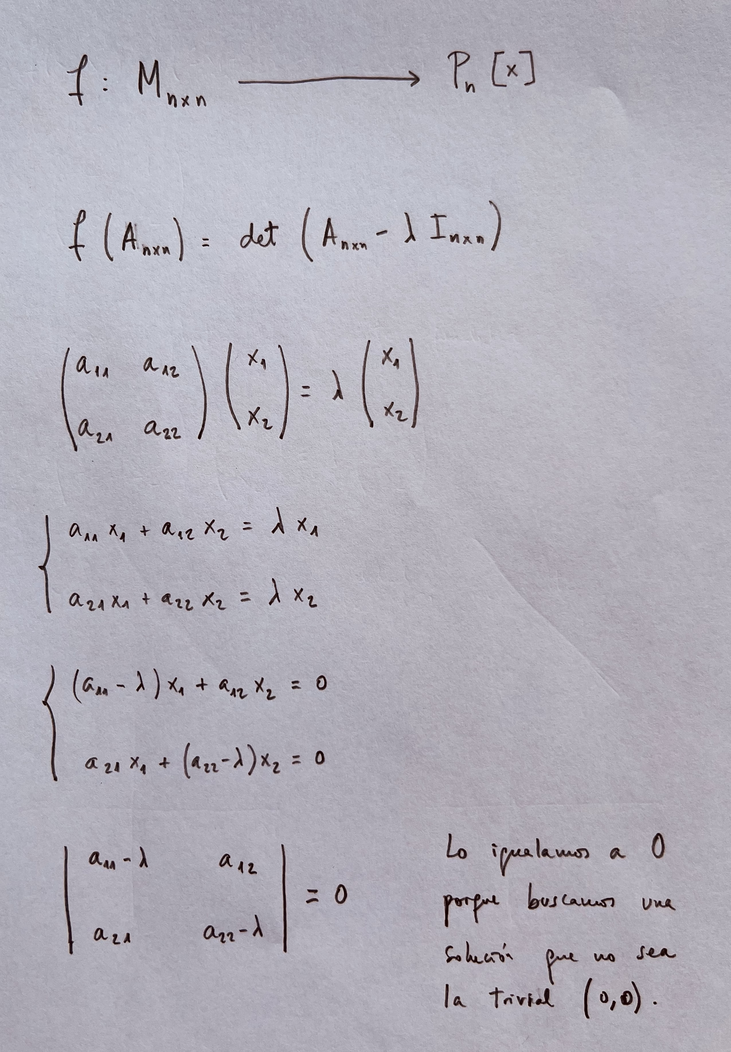
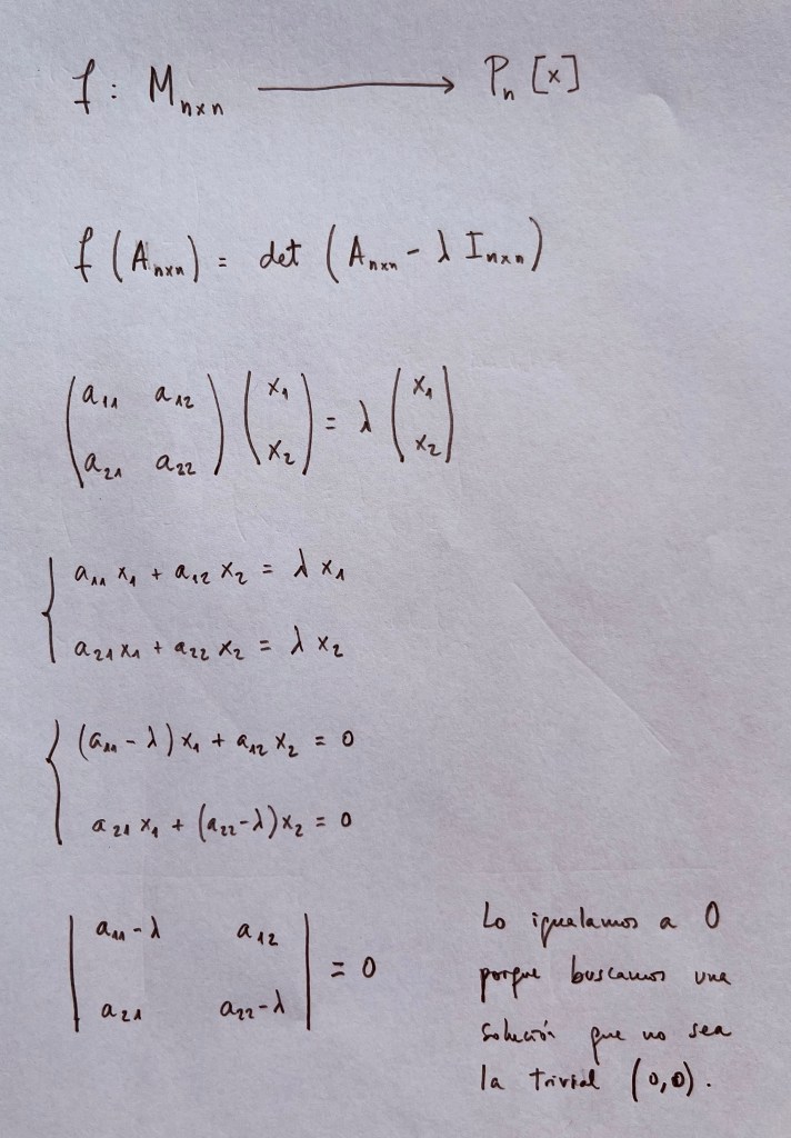
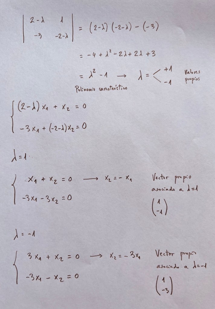
Función matemática 13: Valores propios. Vectores propios. Matrices semejantes o similares Deja un comentario Comparte esto: Compartir en X (Se abre en una ventana nueva) X Comparte en Facebook (Se abre en una ventana nueva) Facebook Me gusta Cargando...