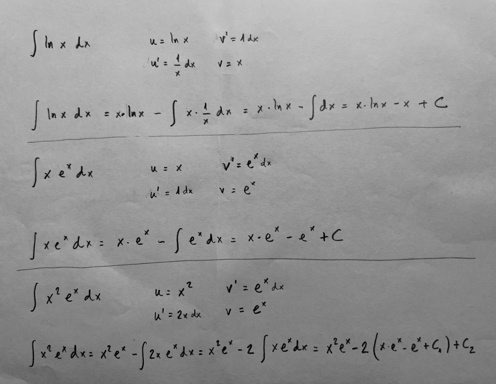
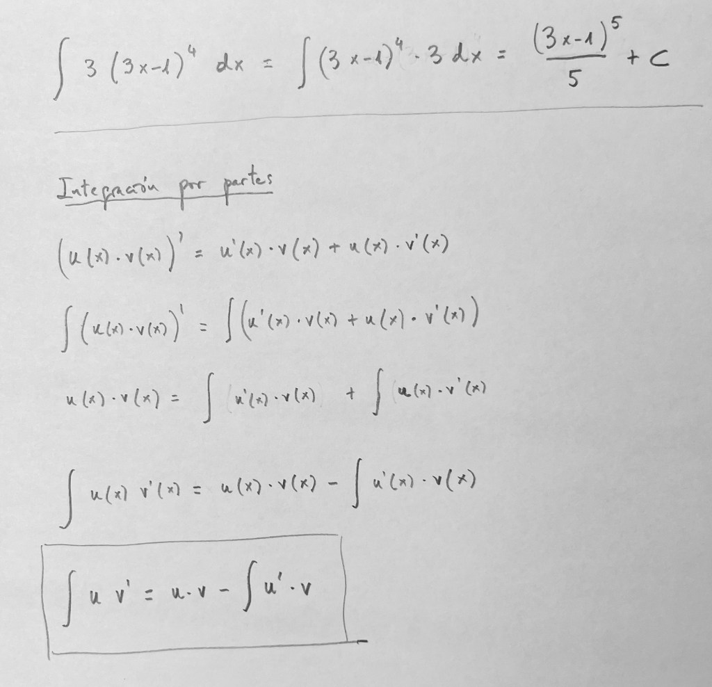
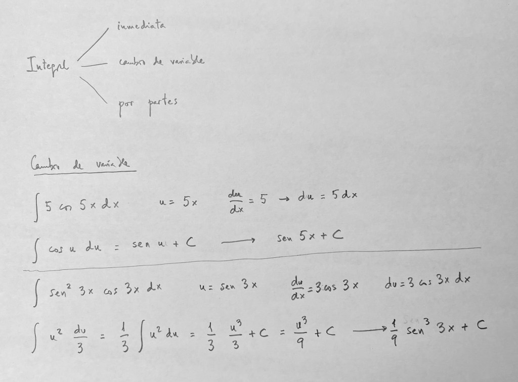
Relación matemática 21: Primitivas de una función. Integral indefinida. Ecuaciones funcionales. Ecuaciones diferenciales Deja un comentario Comparte esto: Compartir en X (Se abre en una ventana nueva) X Comparte en Facebook (Se abre en una ventana nueva) Facebook Me gusta Cargando...