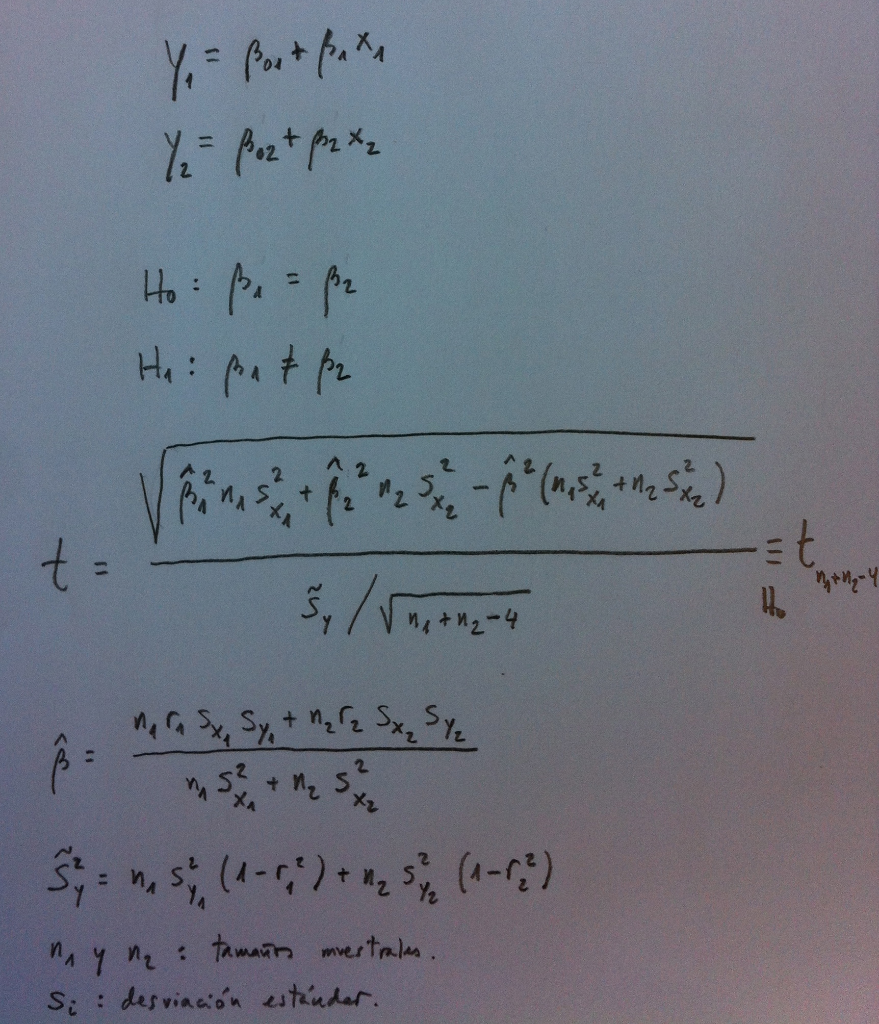
Test de paralelismo entre rectas de regresión Deja un comentario El Test de paralelismo entre rectas de regresión es un test de igualdad de pendientes de dos rectas. Veamos el procedimiento: Comparte esto: Compartir en X (Se abre en una ventana nueva) X Comparte en Facebook (Se abre en una ventana nueva) Facebook Me gusta Cargando...