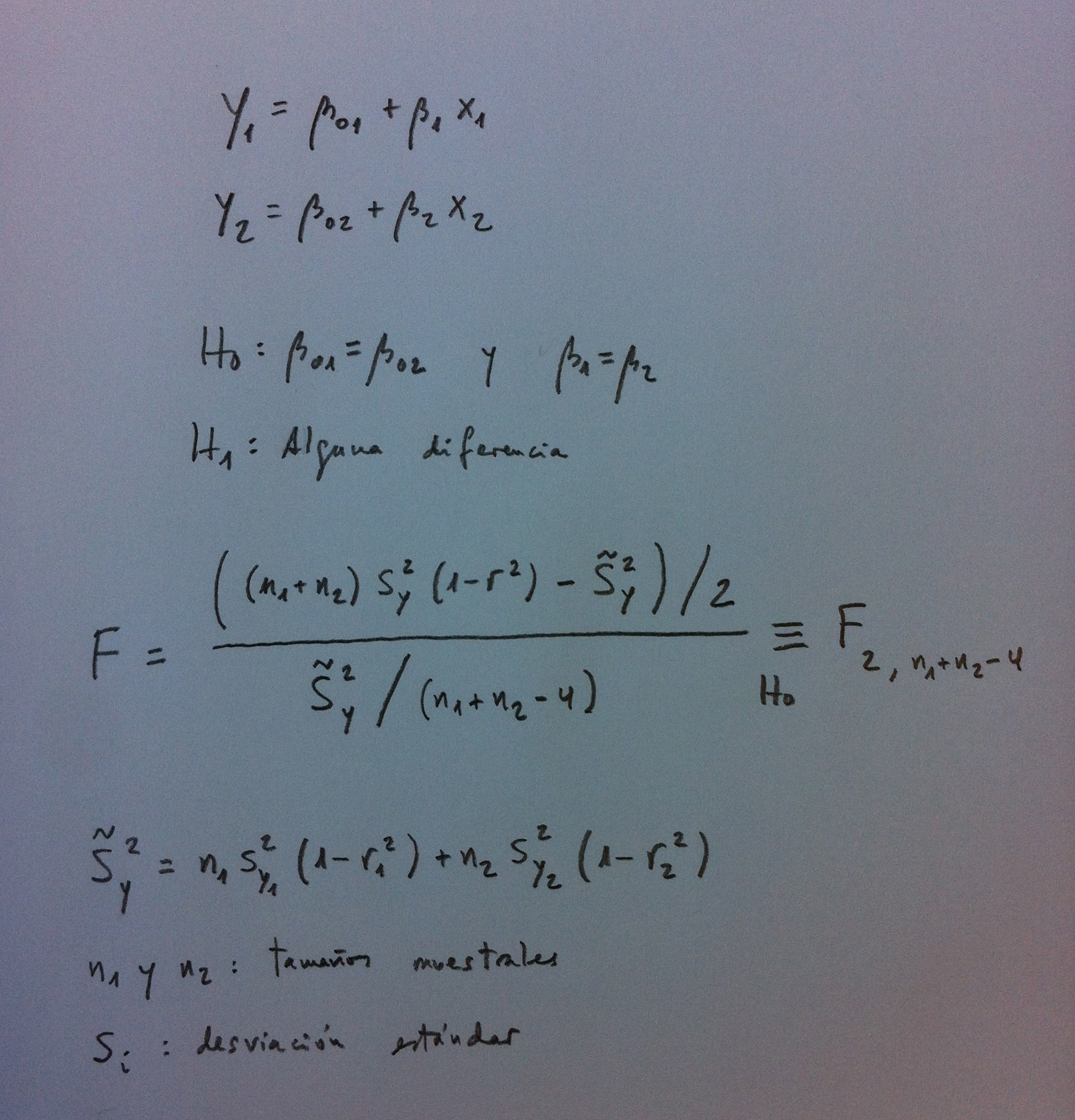
Test de coincidencia de rectas de regresión Deja un comentario El Test de coincidencia de rectas de regresión contrasta la hipótesis nula de igualdad de rectas. El procedimiento es el siguiente: Comparte esto: Compartir en X (Se abre en una ventana nueva) X Comparte en Facebook (Se abre en una ventana nueva) Facebook Me gusta Cargando...