





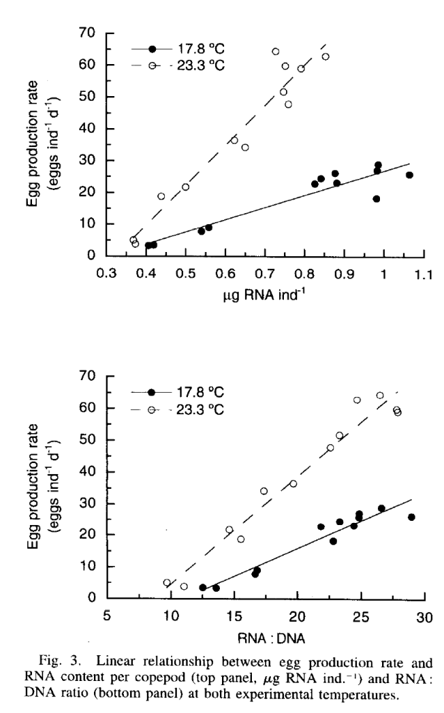
1.El estudio que se presenta a continuación utiliza la regresión lineal simple con la finalidad de relacionar la producción de huevos en copépodos con la cantidad de RNA por un lado y con la proporción RNA/DNA por otro.


Como puedes ver en la tabla no aparecen ni el intervalo de confianza ni el p-valor de los coeficientes a y b. Construye los ocho intervalos de confianza de los coeficientes a y b y proporciona el p-valor que tendríamos en los ocho contrastes de hipótesis de esos coeficientes a y b que en esta tabla se podrían especificar (p<0.05 ó p>0.05).
2.En la tabla siguiente:

Calcula cuál sería, en WAF-oil, la HR de L. glabarrima respecto a C.delta. Cuál sería el p-valor. Cuál sería el error estándar.
3.En la tabla siguiente:

Escribe el modelo de la función logística que relaciona la variable dicotómica tener o no leptospirosis con la distancia a granjas de animales en el supuesto de que el valor del coeficiente independiente, el que no multiplica a ninguna variable, no sea estadísticamente significativo.
4.En la tabla siguiente en la que se ha calculado una regresión logística entre la muerte o no de un árbol replantado al año y la pendiente del terreno, rellena los valores que faltan (con el p-valor basta especificar si será mayor o menor de 0.05):

Problema 1:
Hacer un gráfico que refleje la información esencial aportada por el gráfico siguiente:

pero con los datos de la siguiente base de datos:
Problema 2:
Se quiere ver cómo afectan las horas de sol en la viabilidad de unos árboles replantados. Para ello se han seguido durante 24 meses 40 árboles replantados, registrando el tiempo en el que se produjo la no viabilidad y registrando las horas de sol del lugar donde se replantó cada árbol. Calcular la Hazard ratio pero a seguimiento de 12 meses y evaluar la significación de la HR y el significado del resultado obtenido.
La base de datos es la siguiente:
En el vídeo que tenéis a continuación tenéis las explicaciones necesarias para hacer este ejercicio de Error estándar:
El excel que necesitáis es el siguiente:








En el link
EJERCICIOS PRÁCTICOS CON ARTÍCULOS CIENTÍFICOS
Encontraréis muchos ejercicios de exámenes.
En los exámenes de Ciencias de la Salud os doy una lista que podéis trabajar. El primer número es el número de examen y después del punto tenéis los números de los ejercicios de descriptiva aptos para practicar. Cuando veáis puntos suspensivos significa que todos los que hay entre los dos extremos son de este tema.
Aquí tenéis la lista:


