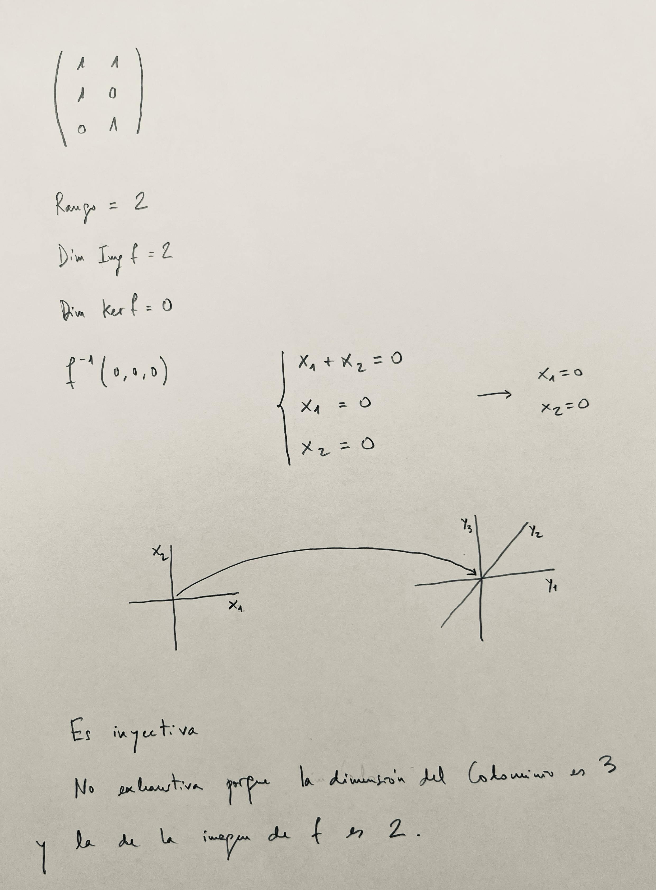
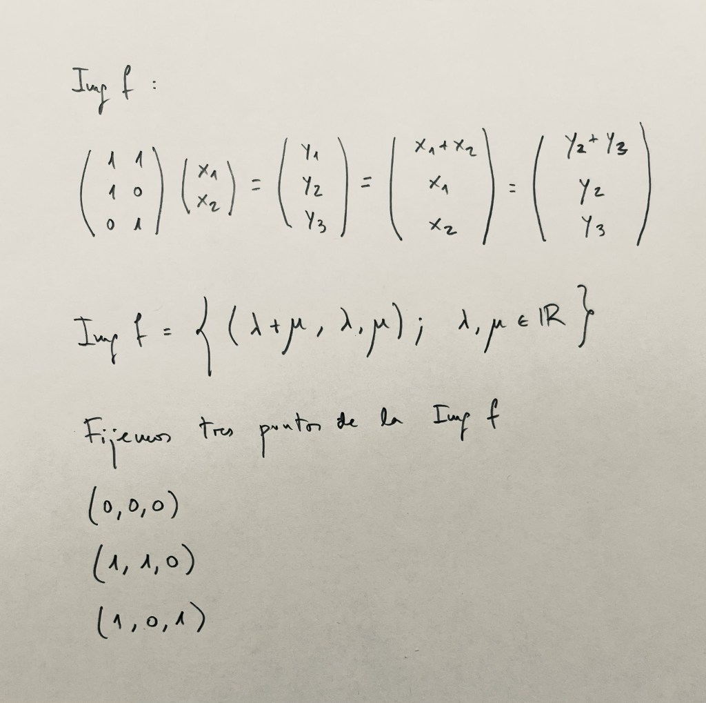
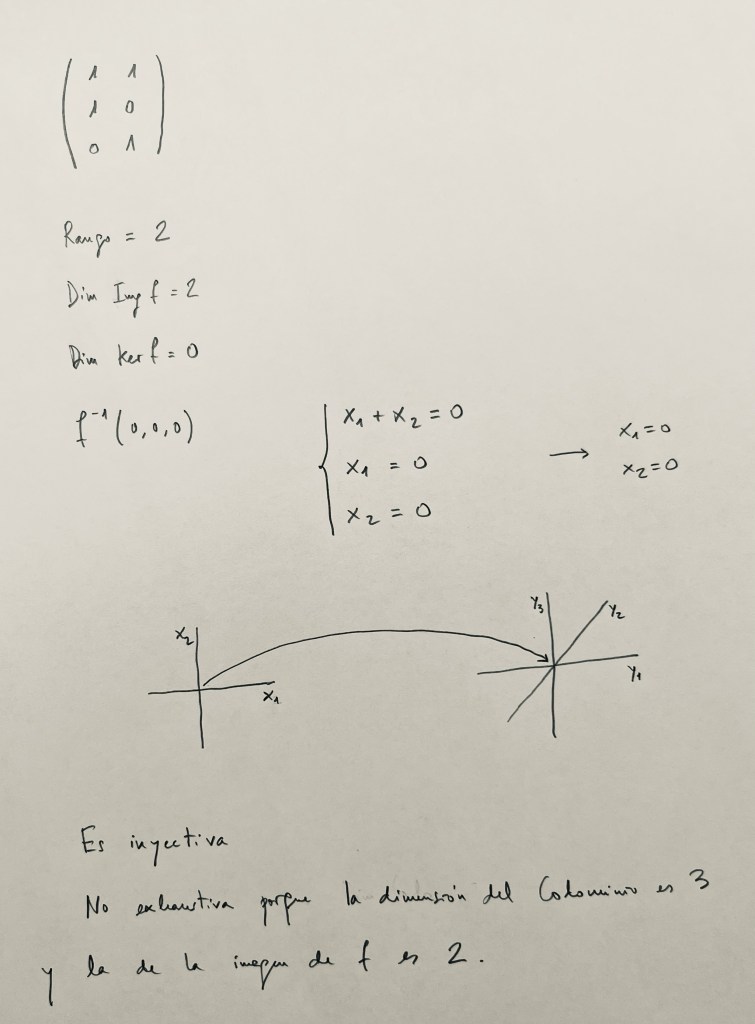
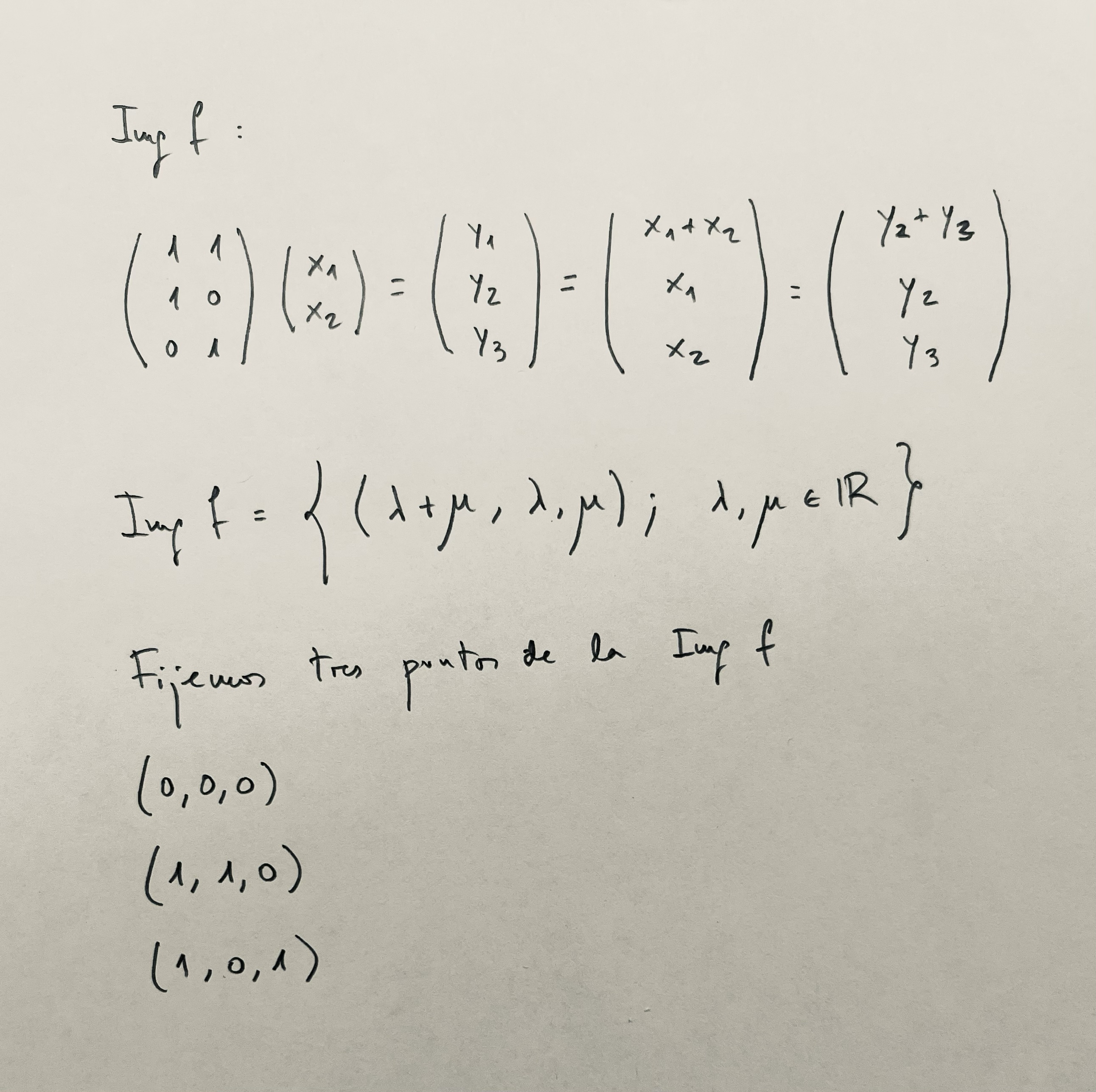
Función matemática 9 (Anexo 3) Deja un comentario SOLUCIÓN Comparte esto: Compartir en X (Se abre en una ventana nueva) X Comparte en Facebook (Se abre en una ventana nueva) Facebook Me gusta Cargando...