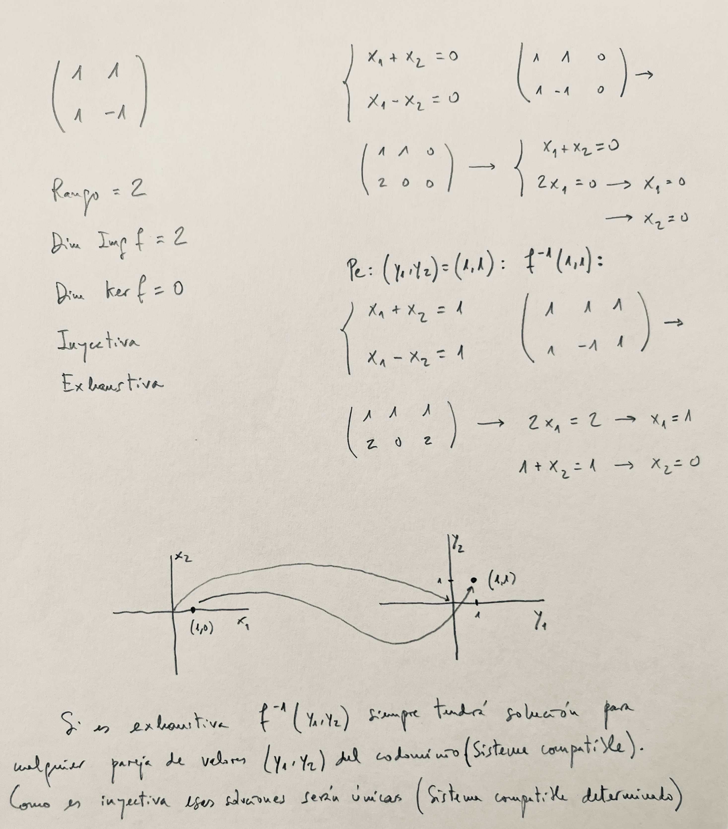
Función matemática 9 (Anexo 2) Deja un comentario SOLUCIÓN: Comparte esto: Compartir en X (Se abre en una ventana nueva) X Comparte en Facebook (Se abre en una ventana nueva) Facebook Me gusta Cargando...