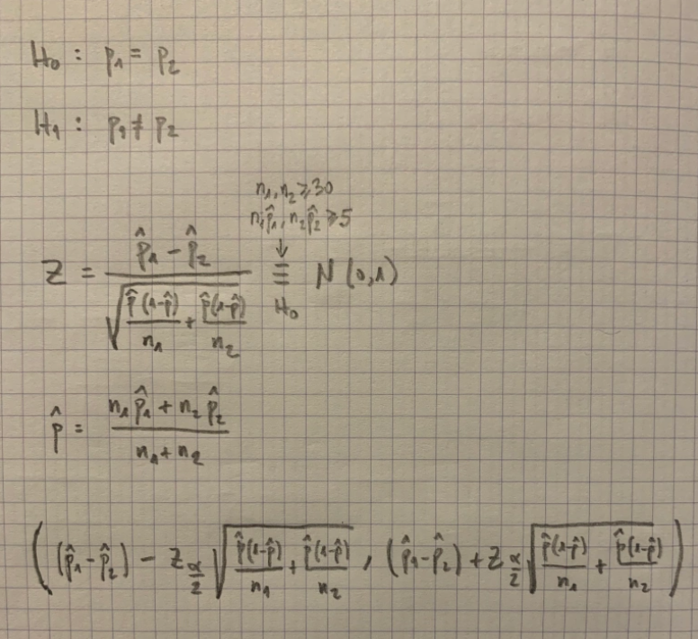
46. Test e Intervalo de confianza de la diferencia de proporciones Deja un comentario Test de comparación de dos proporciones: Test exacto de Fisher: Test de McNemar: Comparte esto: Compartir en X (Se abre en una ventana nueva) X Comparte en Facebook (Se abre en una ventana nueva) Facebook Me gusta Cargando...