

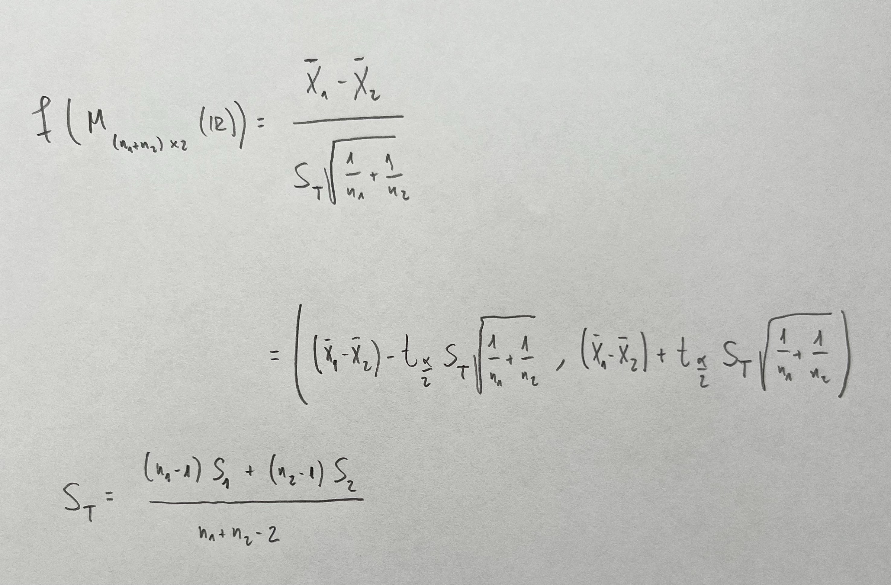
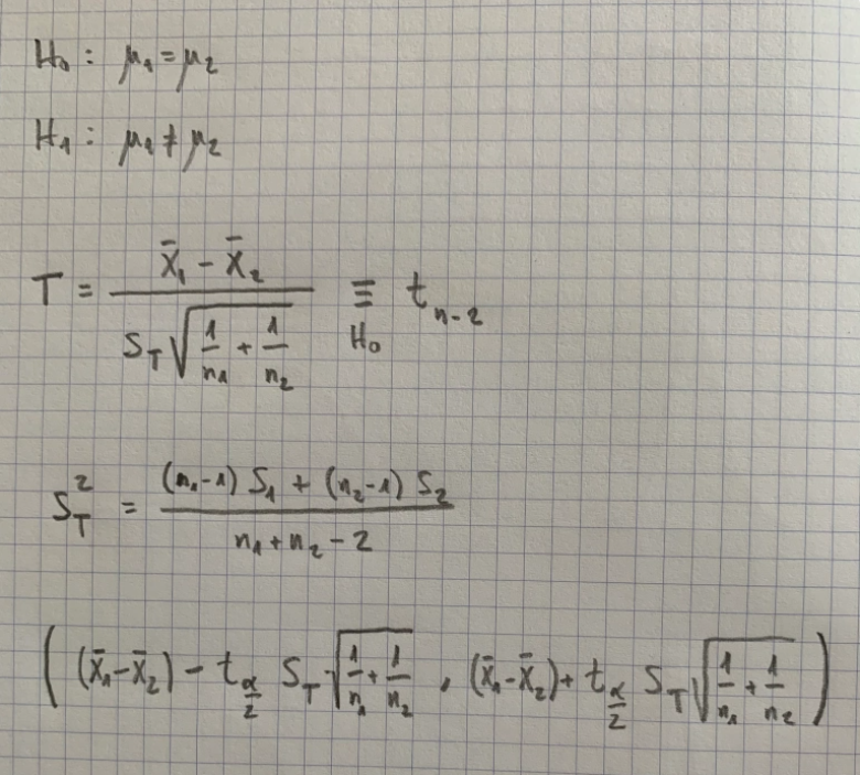
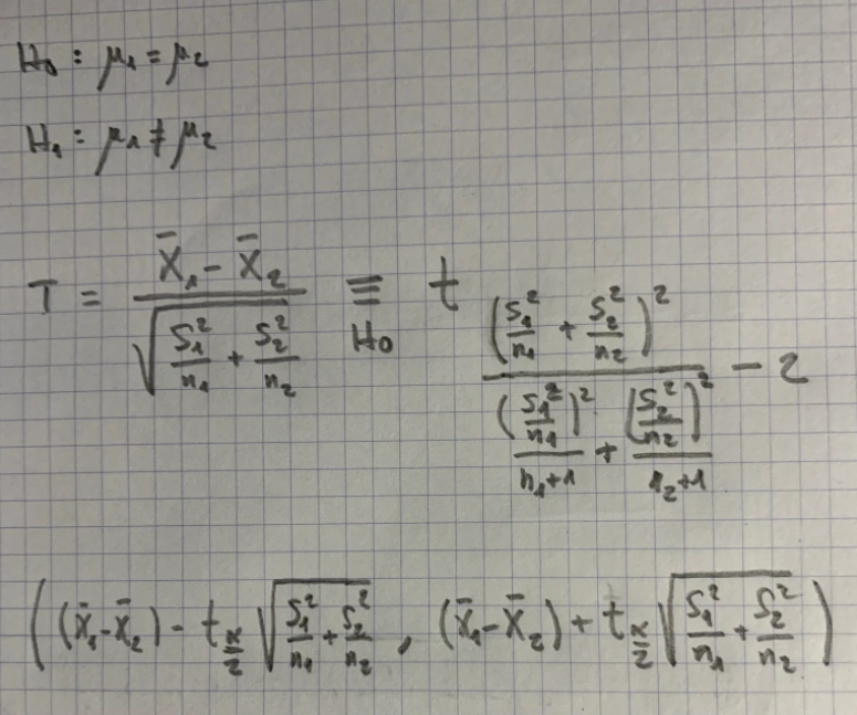
Test de la t de Student de varianzas iguales:


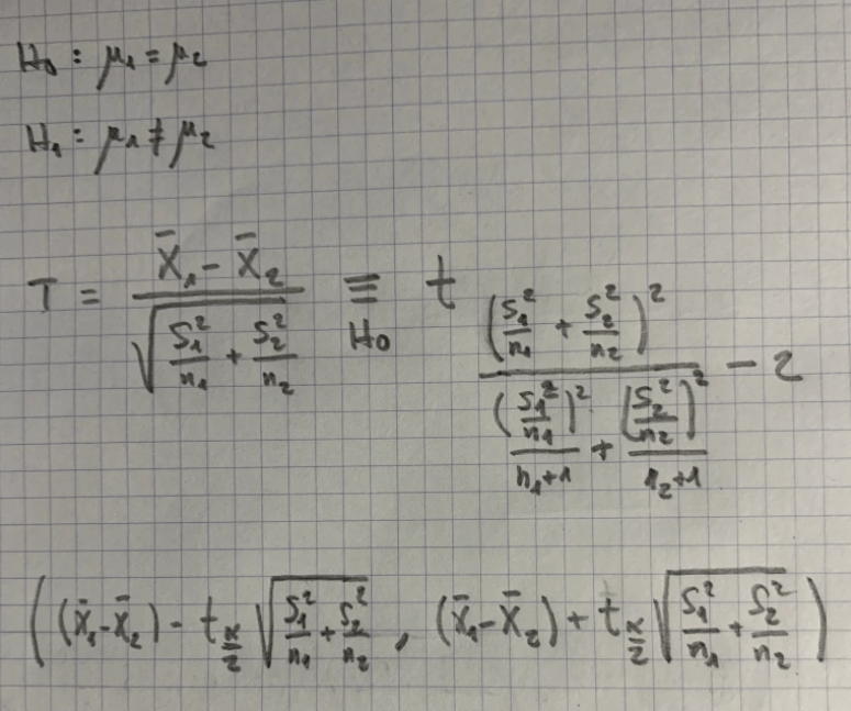
Test de la t de Student de varianzas diferentes:

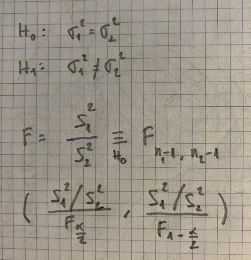
Test F de comparación de varianzas:


Test de ajuste a la distribución normal:
Test de Shapiro-Wilk.
Test de Kolmogorov-Smirnov.
Test de la Ji-cuadrado de ajuste a una distribución.
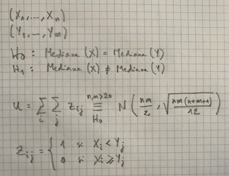
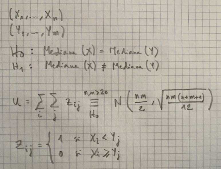
Test de Mann-Whitney:


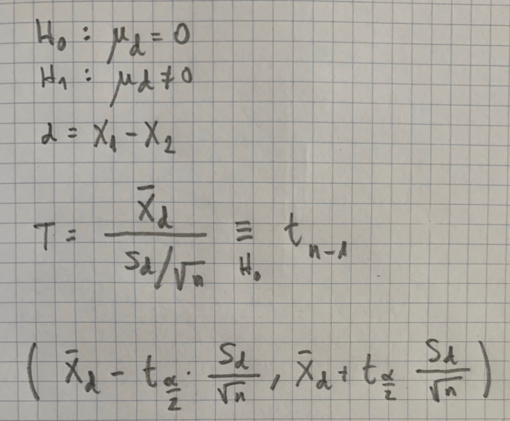
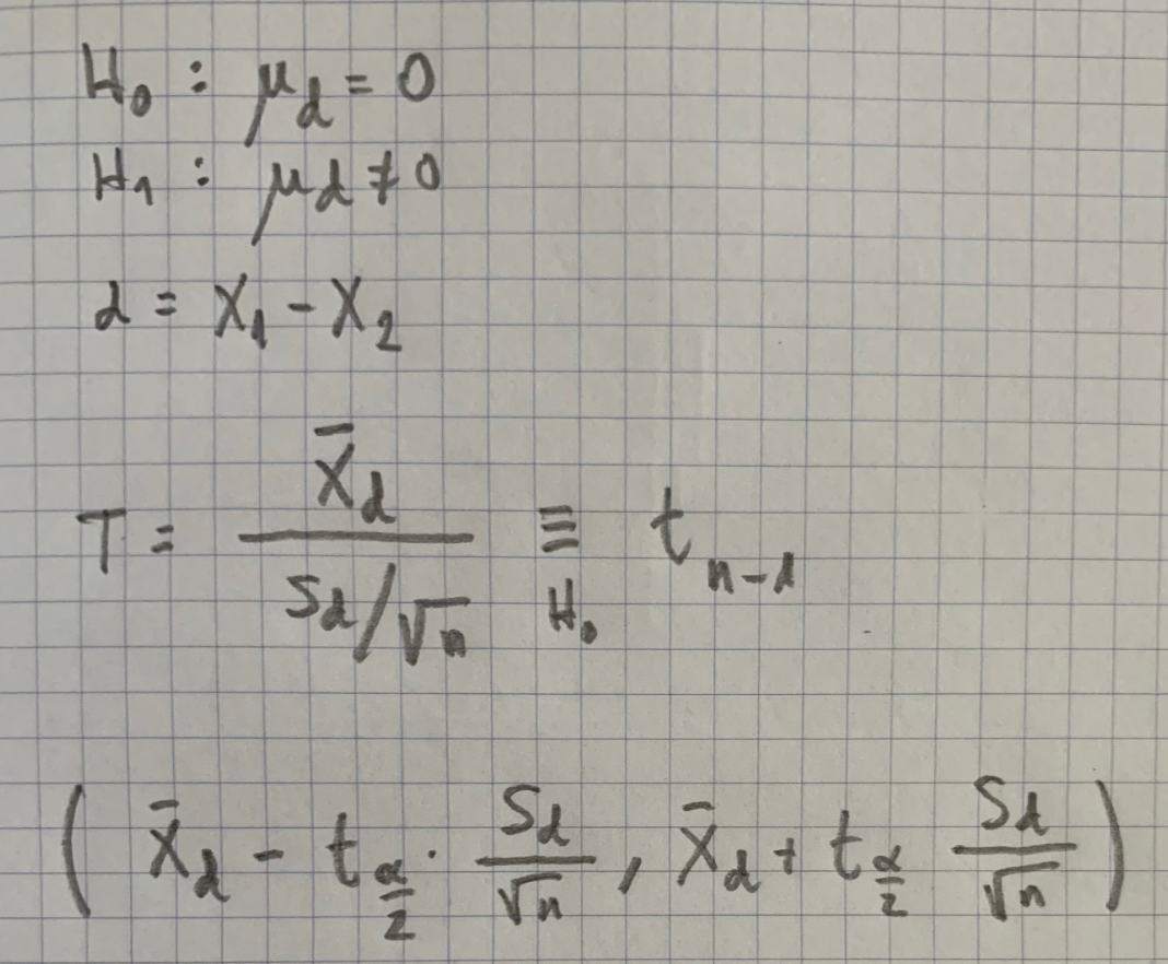
Test de la t de Student de datos apareados:


Test de los signos:


Test de Wilcoxon o Test de rangos con signos:

