Se trata claramente de un ANOVA de dos factores cruzados, uno fijo (la técnica) y el otro aleatorio ( el operario). La comprobación de la normalidad y de la igualdad de varianzas no permite estar bajo las condiciones del modelo:
La tabla ANOVA es la siguiente:
Observemos que al ser un ANOVA de factores mixtos (uno fijo y uno aleatorio) los cociente de cuadrados medios son los que aparecen en la tabla.
Hay significación tanto en los métodos como en el operario. No así en la interacción.
Los parámetros del modelo son:
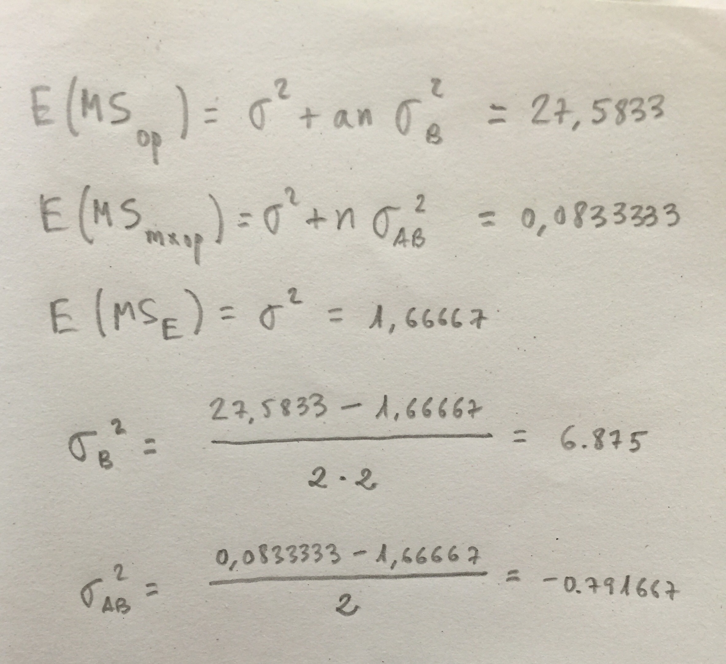
El cálculo de las componentes de la varianza se realizan así:
Si ahora quisiéramos calcular la probabilidad de que la T1 ó la T2 dé valores por encima, por ejemplo, de 22, deberíamos ver con qué distribución normal debemos trabajar. La media la tomaríamos estimando la media de cada una de las dos técnicas y respecto a la varianza total hay dos opciones, como se puede ver: Considerar la de la interacción como 0 ó como el valor negativo que surge de la estimación. Me he inclinado por la primera opción, como puede verse a continuación:
En la técnica 1 un 8,3% de valores serán mayores de 22 y en la técnica 2 un 67,7%.




