El modelo de ANOVA es el mismo que el de la Situación 41. Ver, por lo tanto, el modelo en la Solución de la Situación 41.
«Centro» es un factor fijo, «Método» también. «Grupo», anidado dentro de «Centro», es aleatorio. «Método» está cruzado con «Centro» y con «Grupo».
En concreto la salida de ordenador para este problema es:
No hay diferencias entre centros, sí entre métodos y sí entre grupos. No hay interacción significativa.
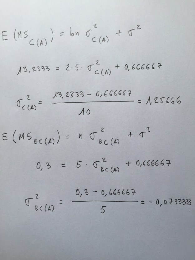
El cálculo de las componentes de la varianza es el siguiente:
Evidentemente la componente de la varianza negativa se acabará dando como 0. De hecho, ya se trataba de un efecto no estadísticamente significativo.

