El modelo de este problema es el mismo de la Situación 45. Ver, por lo tanto, las indicaciones de la Solución de la Situación 45.
El factor «Ciencias» y el factor «Letras» es fijo. El factor «Alumno» es aleatorio y anidado dentro de la interacción.
En este problema la salida de ordenador es la siguiente:
Como puede apreciarse, después de hacer los cocientes correspondientes, los factores significativos son «Letras» y «Alumnos». Al hacer las comparaciones múltiples en el factor «Letras» puede apreciarse que es un profesor el que da niveles de motivación por debajo, significativamente. Y sin interacción. No es pues la combinación con otros. Es siempre igual. Él hace bajar las valoraciones siempre.
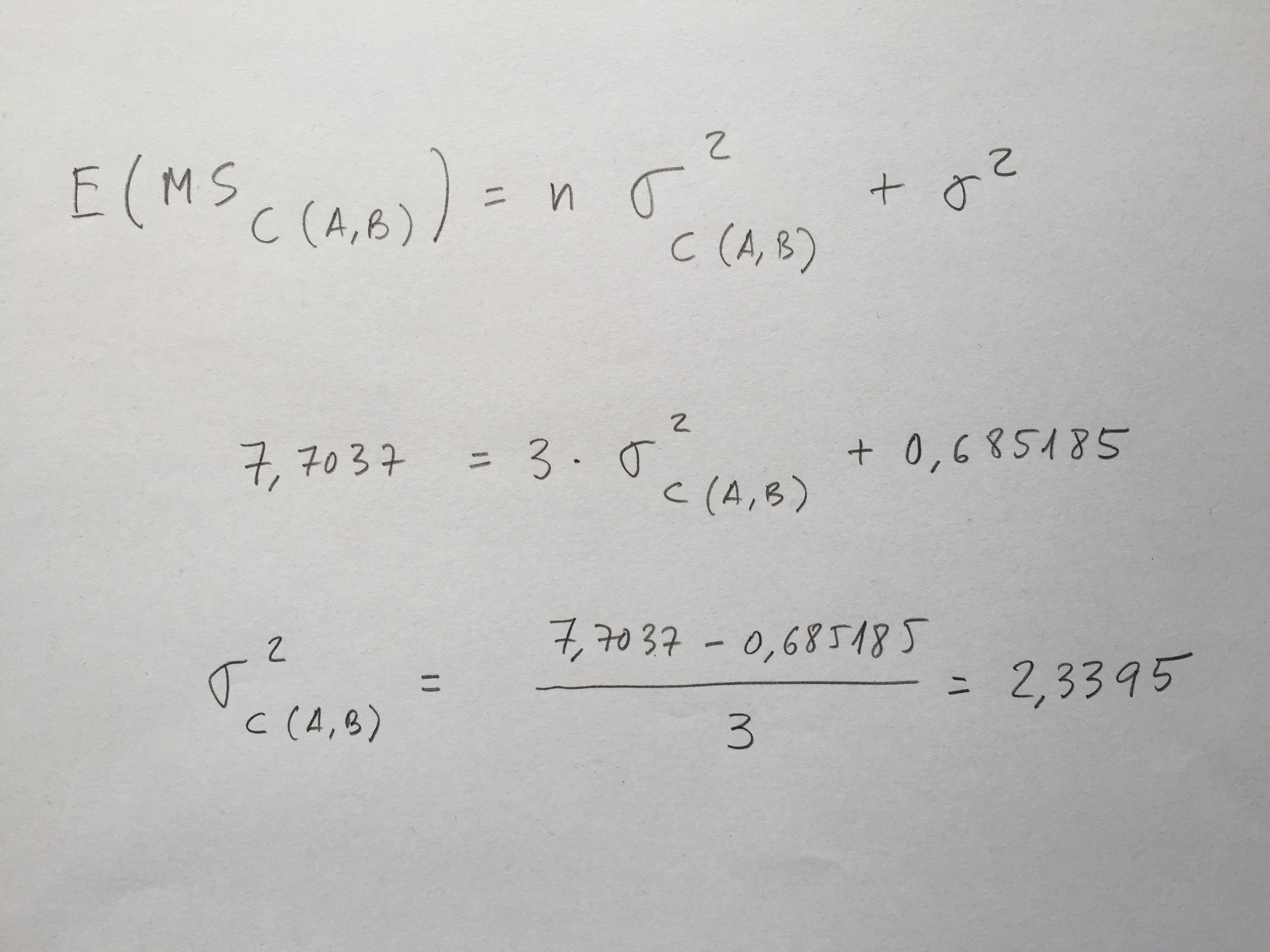
Veamos el cálculo de la componente de la varianza:

