Vamos a ver una serie de artículos que nos sirvan de iniciación a la Estadística para estudiantes de Psiquiatría y Psicología. He elegido unos cuantos artículos de Psiquiatría y de Psicología que me parecen interesantes para iniciarse en la conexión entre estos campos del conocimiento y la Estadística.
1. Veamos el primero. Se trata de un estudio sobre la Esquizofrenia, una de las enfermedades psiquiátricas más estudiadas, más graves y más complejas.
En este estudio se está comparando, como sucede con frecuencia en este tipo de trastornos, un grupo de pacientes con esquizofrenia y un grupo de pacientes controles. Observemos cómo se comparan las concentraciones de un determinado receptor a nivel neuronal en estos dos grupos de pacientes: esquizofrénicos y un grupo control:
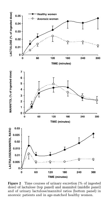
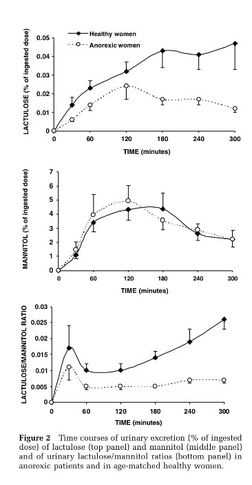
2. Otro ámbito interesante en Psiquiatría y Psicología es la Anorexia nerviosa. Se ha considerado muchas veces que esos pacientes, debido al bajo aporte de nutrientes, debían de incrementar la permeabilidad a nivel digestivo, con la finalidad de optimizar los recursos disponibles. Pues, parece que no. Que es más bien todo lo contrario. Que llueve sobre mojado. Que estos pacientes, que evitan la comida, tienen alterados los mecanismos de permeabilidad pero en el sentido de una reducción de permeabilidad respecto al nivel normal.
Observemos las curvas de eliminación de ciertas sustancias en estudios controlados comparando pacientes con Anorexia nerviosa con personas sin esa patología:
3. Este es un interesante artículo que trata de estimar la prevalencia del TDAH en una determinada población. Los estudios de prevalencia tienen una trascendencia especial en el mundo sanitario, evidentemente. Conocer el alcance de una patología es un elemento importantísimo a nivel social.
4. A continuación otro estudio de prevalencia, aunque distinto. Se trata de conocer una realidad social compleja. Este artículo puede resultar interesante como iniciación a la importantísima noción de Odds ratio en el ámbito sanitario:
5. El sistema inmunitario es nuestro ejército interno que nos protege de lo externo que nos llega y de lo interno que se deteriora y nos puede perjudicar. Es fundamental su equilibrio y su eficacia.
Este artículo es un estudio muy interesante que evalúa una de las dimensiones fisiopatológicas por donde transitan las consecuencias de la Anorexia nerviosa: una alteración del sistema inmunitario que transforma en más vulnerable a esos pacientes:
6. A continuación un interesante estudio que compara las dimensiones del afrontamiento al estrés entre hombres y mujeres universitarios:
7. Muchas enfermedades psiquiátricas tienen una explicación a nivel de receptores de neurotransmisores. Todo lo más trascendente a nivel del tejido nervioso sucede en las sinapsis. Parece, pues, lógico, que, alteraciones a ese nivel, deben originar cuadros patológicos. En el trastorno bipolar parece claro que los receptores de la serotonina se ven alterados. En este artículo se reúnen diferentes estudios, orientados todos ellos en la misma dirección, que tratan de mostrar cuantitativamente esta realidad. Estos estudios que combinan diferentes estudios hechos en la misma dirección abundan mucho en ciencia. Es una forma de comparar, de unificar y de aumentar, de alguna forma, el tamaño de muestra:












