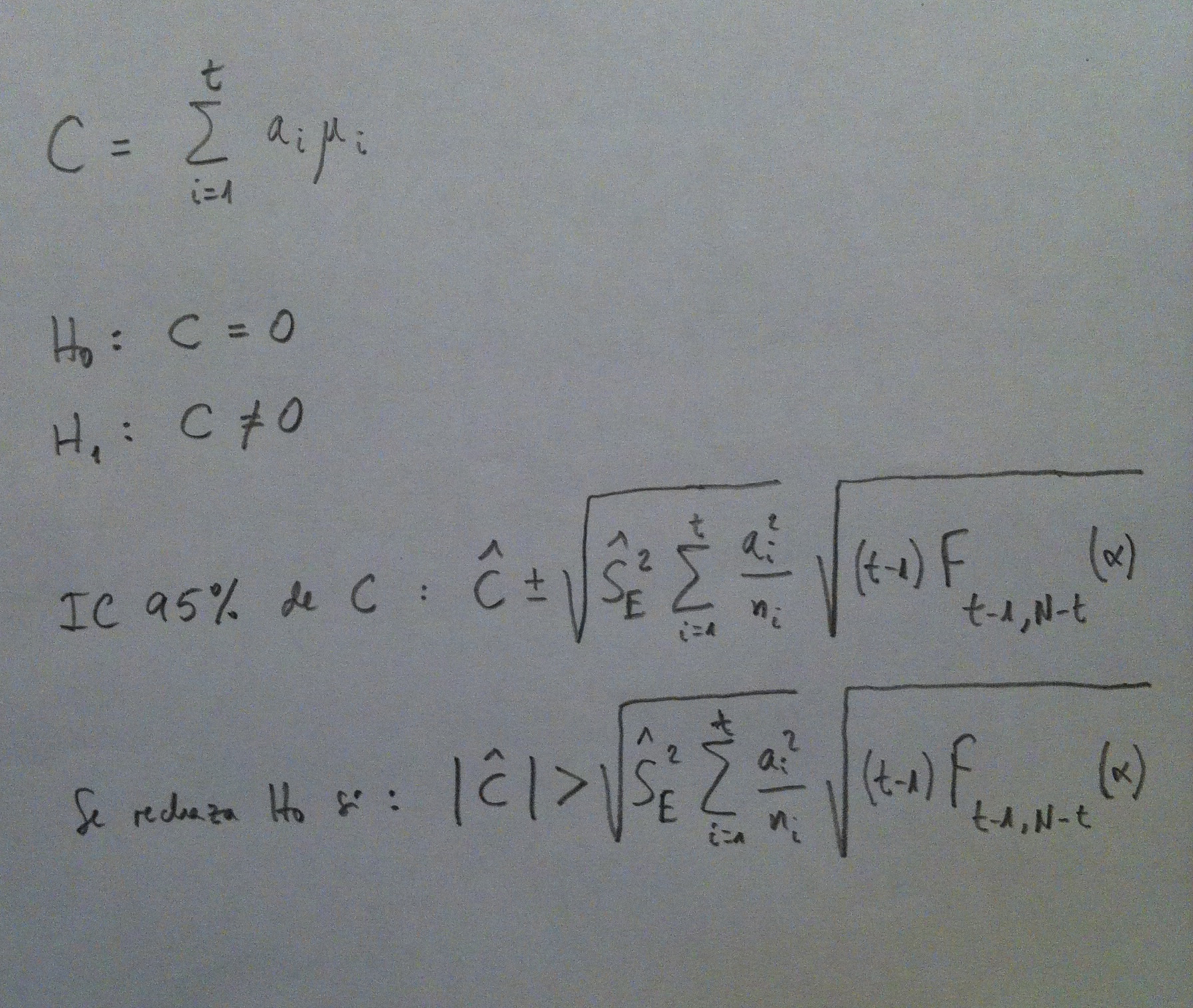
El Test de Scheffé es un test de comparaciones múltiples. Permite comparar, como los demás contrastes de este tipo, las medias de los t niveles de un factor después de haber rechazado la Hipótesis nula de igualdad de medias mediante la técnica ANOVA.
Todos los tests de comparaciones múltiples son tests que tratan de concretar una Hipótesis alternativa genérica como la de cualquiera de los Test ANOVA.
El Test de Scheffé crea también umbral, como las otras técnicas de comparaciones múltiples, y las diferencias que superen ese umbral serán, para el método, significativas, y las que no lo superen no lo serán.
Para comparar las diferentes técnicas de comparaciones múltiples es recomendable leer el articulo Comparación entre técnicas de comparaciones múltiples.
