Test HSD de Tukey

El Test HSD (Honestly-significant-difference) de Tukey es un test de comparaciones múltiples. Permite comparar las medias de los t niveles de un factor después de haber rechazado la Hipótesis nula de igualdad de medias mediante la técnica ANOVA. Es, por lo tanto, un test que trata de perfilar, trata de especificar, una Hipótesis alternativa genérica como la de cualquiera de los Test ANOVA.

Se basa en la distribución del rango estudentizado que es la distribución que sigue la diferencia del máximo y del mínimo de las diferencias entre la media muestral y la media poblacional de t variables normales N(0, 1) independientes e idénticamente distribuidas.

Se establece así un umbral, como en otros métodos, como el Test LSD (Ver Herbario de técnicas). Se calculan todas las diferencias de medias muestrales entre los t niveles del factor estudiado. Las diferencias que estén por encima de ese umbral se considerarán diferencias significativas, las que no lo estén se considerarán diferencias no significativas.

IMG_4998

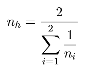
Observemos que el test está diseñado para el mismo tamaño muestral por nivel, por esto aparece esta n común. Si tenemos tamaños muestrales distintos se toma entonces como n la media armónica de esas medias. La media armónica de dos medias es la siguiente:

IMG_5003

Para nuestro caso debería generalizarse a t medias simplemente sustituyendo el 2 por el número t.

Para ver cómo funciona la distribución del rango estudentizado veamos una tabla donde se buscarían estos valores:

IMG_4999

Observemos que en la tabla hay un valor de el número de medias, en la nomenclatura seguida por nosotros sería la t, los t niveles del factor. En la tabla le llama k. Los grados de libertad son el N-t nuestro. La tabla da umbrales para dos niveles de significación alfa: 0.05 y 0.01.

Finalmente, para poder comparar esta técnica de comparaciones múltiples con las otras que suelen utilizarse leer el artículo Comparación entre técnicas de comparaciones múltiples.

5 comentarios en “Test HSD de Tukey

  1. Avatar de claudiaclaudia

    Hola, al fin estoy entendiendo estadística con su blog, quería hacer una consulta, el otro día un amigo me hablo que existía un tukey no paramétrico, que se podía aplicar a un anova de medidas repetidas, es conceptual mente lógico esto?

    Responder
    1. Avatar de estadisticallopisestadisticallopis Autor

      Hola Claudia, en un anova de medidas repetidas hay dos posibles tipos de factores: uno es el sustancial a las medidas repetidas, el que se evalúa a todos los sujetos, es el denominado factor intrasujetos porque todos sus niveles se miden en todos los sujetos del estudio. Aquí no existen pruebas de comparaciones múltiples posibles (como , por ejemplo, el Tukey). Los otros tipos de factores son intersujetos porque sus niveles se evalúan a grupos diferentes de sujetos: son los factores típicos del anova. A estos factores sí es posible aplicarles técnicas de comparaciones múltiples, evidentemente. Espero haberte aclarado la duda.
      Un saludo cordial.

      Responder

Deja un comentario