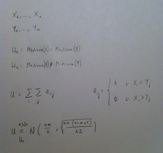
El Test de Mann-Whitney es un test no paramétrico que contrasta la igualdad de medianas de dos poblaciones. A este Test también se le llama, a veces, Test de Mann-Whitney-Wilcoxon o, también, Test de Wilcoxon de la suma de rangos.
Consiste en realizar nxm comparaciones: todos los valores de una muestra se comparan con los de la otra y se cuenta el número de veces que los de una muestra son superiores a los de la otra. El estadístico de test U es ese contador.
Test de Mann-Whitney
Deja un comentario
