¡Hola! ¿ Me puedes ayudar? Soy principiante en estadística y tengo una duda, y el examen es pronto 😦
En mi formulario, para calcular las razones básicas del Anova de un factor (efectos fijos), hhay dos caminos: para los diseños equilibrados y para los diseños no equilibrados.
Estaba haciendo un ejercicio, y para calcular la razón básica [T], en los diseños equilibrados hay que dividir T al cuadrado por «n x a» (n multiplicado por a)
No me sale el ejercicio como al libro porque no sé qué es (n x a) y me estoy desesperando un poco. Creía que era los sujetos del nivel multiplicado por los niveles que había, pero no me da.
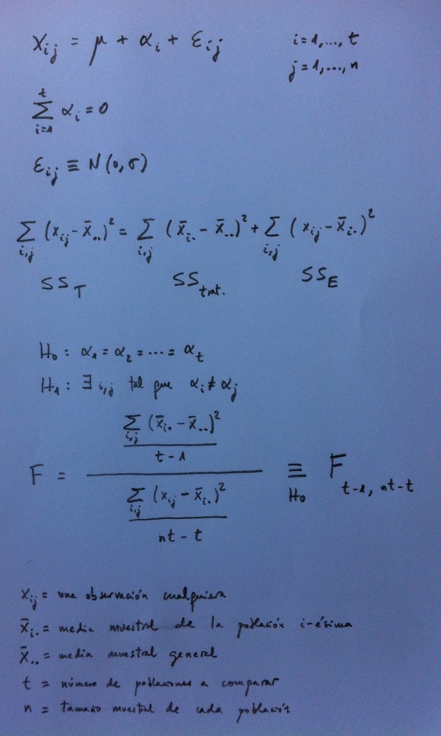
Si miras el artículo ANOVA de un factor a efectos fijos verás los cálculos que se deben hacer. El estadístico que se calcula es un cociente de dos cocientes: en el numerador se divide por el número de grupos del estudio menos 1. En el denominador de divide por el tamaño total de muestra menos el número de grupos.
¡Hola! ¿ Me puedes ayudar? Soy principiante en estadística y tengo una duda, y el examen es pronto 😦
En mi formulario, para calcular las razones básicas del Anova de un factor (efectos fijos), hhay dos caminos: para los diseños equilibrados y para los diseños no equilibrados.
Estaba haciendo un ejercicio, y para calcular la razón básica [T], en los diseños equilibrados hay que dividir T al cuadrado por «n x a» (n multiplicado por a)
No me sale el ejercicio como al libro porque no sé qué es (n x a) y me estoy desesperando un poco. Creía que era los sujetos del nivel multiplicado por los niveles que había, pero no me da.
http://Www.cienciadeti.com
Si miras el artículo ANOVA de un factor a efectos fijos verás los cálculos que se deben hacer. El estadístico que se calcula es un cociente de dos cocientes: en el numerador se divide por el número de grupos del estudio menos 1. En el denominador de divide por el tamaño total de muestra menos el número de grupos.