











1.En la tabla siguiente:

Dibuja, aproximadamente, las funciones de riesgos, en un único gráfico, con WAF-oil, al comparar las diferentes concentraciones de petróleo estudiadas en este artículo.
2.Hacer un gráfico que refleje la información esencial aportada por el gráfico siguiente:

Pero del siguiente análisis (las dos primeras componentes):

3.A partir de la tabla siguiente:

Para cada una de las variables respuesta estudiadas haz un esquema mediante letras de las comparaciones múltiples.
4. Se quiere estudiar la contaminación ambiental por levaduras que hay en el ambiente en el ámbito sanitario y cómo afectan ciertos factores en el resultado analítico. Se quiere comparar, en primer lugar, hospitales de segundo y tercer nivel. Se quiere comparar, también, si hay diferencias a nivel de contaminación entre el vestíbulo de hospital y una sala de enfermedades infecciosas de hospital. Se toma, pues, una muestra en estos dos puntos de cada hospital en un mismo día y hora. En cada muestra se analiza la cantidad de esa levadura. Los análisis los realizan tres operarios del laboratorio en cada hospital (en total en el estudio intervienen, pues, seis operarios) que analizan todas las muestras obtenidas en su hospital. El análisis lo hace, cada operario, por duplicado. Se quiere ver, también, por lo tanto, si los operarios de laboratorio introducen variabilidad significativa a los resultados.
Elige primero de los cuatro siguientes listados el adecuado. A continuación realiza los cocientes adecuados y calcula si el efecto es significativo o no.

5. Se ha registrado en puntos del mar la presencia o no de una determinada especie junto con la temperatura y la cantidad de clorofila de cada uno de estos puntos. Los datos están en el fichero adjunto:
Evaluar, mediante una regresión logística simple, con cada una de las dos variables cuantitativas, por separado, la odds ratio y su intervalo de confianza que nos permita pronosticar la probabilidad de la presencia de esta especie estudiada. ¿Hay relación entre la presencia o no de esa especie y alguna de las dos variables? (1=Presencia; 0=Ausencia).
6.En dos zonas distintas se han hecho dos intervenciones medioambientales distintas. Se han tomado en ambos casos tres ríos donde el nivel de un contaminante sabemos que es muy similar. Tanto en la intervención 1 como en la intervención 2 en los ríos 1 y 2 no se ha realizado ninguna intervención. Es en el río 3 de ambos estudios donde se ha realizado cada una de las dos intervenciones que se quiere evaluar su eficacia.
Analiza dónde crees que se ha conseguido más eficacia, en la intervención 1 ó en la intervención 2.
Los datos están en el siguiente fichero:
1.En la tabla siguiente, ¿es posible que para la variable Salinity y el factor Site tengamos un p-valor de 0.02? ¿Es posible que para la variable Chl a y el factor Sex tengamos un p-valor superior a 0.05? Justifica brevemente la respuesta.

2.En el ANOVA de tres factores de la tabla siguiente:

Escribe el modelo seguido suponiendo que todos los factores presentes son fijos. ¿Están bien calculadas las F-ratio si suponemos que los factores son todos fijos? Justifica la respuesta.
3.En la tabla siguiente:

la siguiente tabla de datos, con tres réplicas para ver la variabilidad dentro de los grupos, ¿a qué variable corresponde, a crecimiento o a supervivencia? Justifica la respuesta.

4.Para hacer un estudio de la distribución de un contaminante en ríos en la Unión Europea hemos elegido, primero, al azar, 5 países, en cada uno de estos países elegidos hemos tomado, también al azar, 5 ríos y en cada uno de estos ríos hemos elegido, también al azar, 5 puntos diferentes. Cada una de las 125 muestras se ha mandado a un laboratorio de referencia donde de cada una de esas muestras se ha analizado la concentración de ese contaminante por triplicado para ver la variabilidad residual. Se quiere analizar la variabilidad de cada una de las diferentes fuentes de variación. Escribe el modelo y encuentra cuáles serían los cocientes F que hay que hacer.
5. Se quiere evaluar la contribución a la variabilidad que introduce la toma de la muestra en el análisis de un determinado contaminante, en una industria alimentaria. Se quiere, al mismo tiempo, evaluar si hay diferencias en los resultados obtenidos con dos aparatos de medida distintos. También quiere verse si hay diferencias entre un operador de referencia (el Op1) y uno que lleva menos de un año trabajando en el laboratorio (el Op2). Para ello se toman en un punto de salida de residuos seis muestras a lo largo del día. Tres son analizadas por un operario y las otras tres lo son por el segundo operario. Cada operario, en cada muestra estudiada, realiza, pues, cuatro veces el análisis: dos veces con el aparato 1 y dos veces con el aparato 2, en cada una de las muestras que analiza.
Los resultados obtenidos son los siguientes:

Escribe el modelo y resuélvelo suponiendo que se cumplen las condiciones de normalidad, homocedasticidad e independencia.
6.Hacer un gráfico que refleje la información esencial aportada por el gráfico siguiente:

pero con los datos de la siguiente base de datos:
7. Se quiere ver cómo afectan las horas de sol en la viabilidad de unos árboles replantados. Para ello se han seguido durante 24 meses 40 árboles replantados, registrando el tiempo en el que se produjo la no viabilidad y registrando las horas de sol del lugar donde se replantó cada árbol. Calcular la Hazard ratio pero a seguimiento de 6 meses y evaluar la significación de la HR y el significado del resultado obtenido. La base de datos es la siguiente:
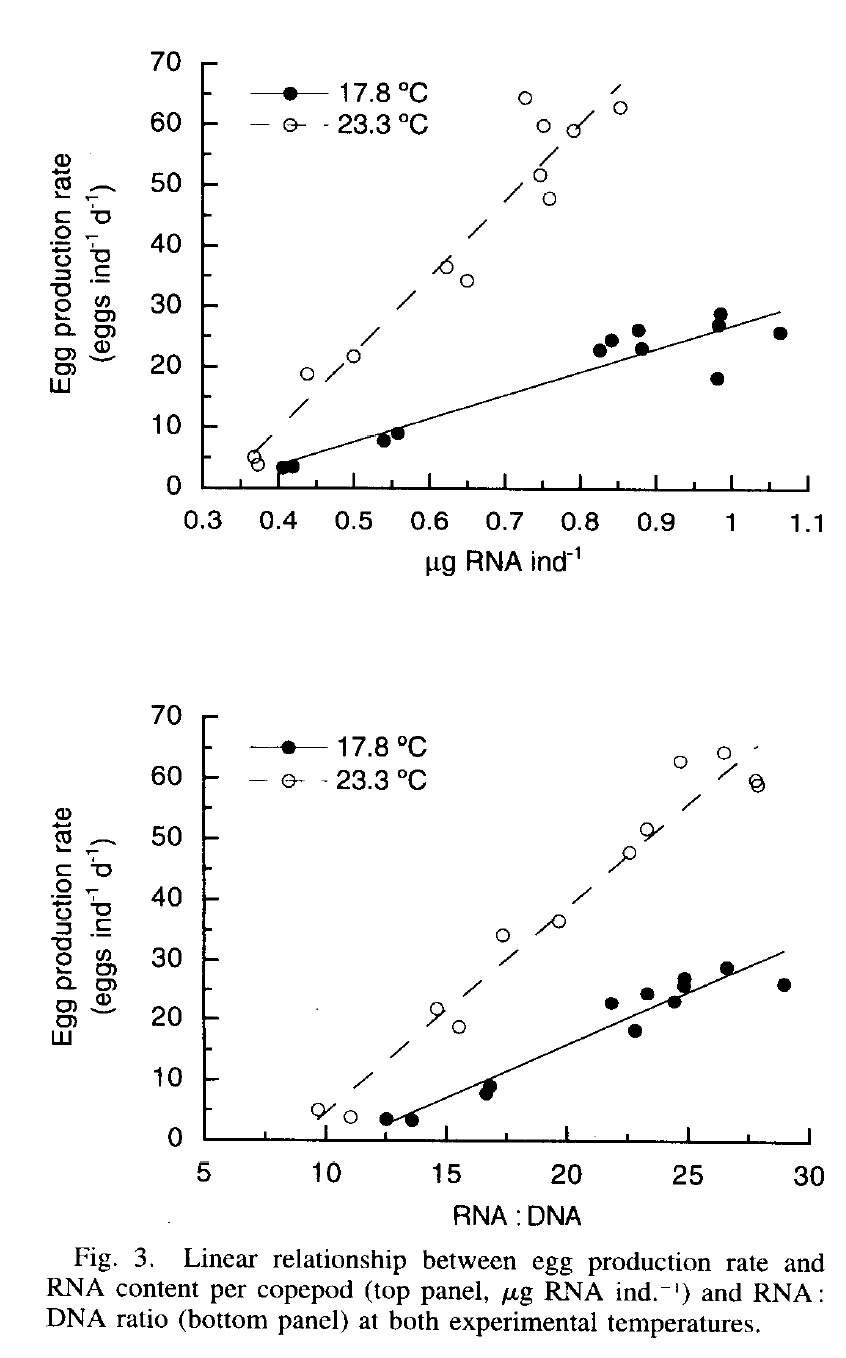
8. El estudio que se presenta a continuación utiliza la regresión lineal simple con la finalidad de relacionar la producción de huevos en copépodos con la cantidad de RNA por un lado y con la proporción RNA/DNA por otro.

Como puedes ver en la tabla no aparecen ni el intervalo de confianza ni el p-valor de los coeficientes a y b. A partir de la información que nos dan sobre el coeficiente de determinación qué podemos afirmar y qué no podemos afirmar acerca de la significación o no de los coeficientes a y b.











