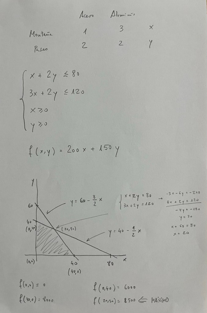
1.Una fábrica dispone de 80 Kg de acero y 120 Kg de aluminio para fabricar bicicletas de montaña y de paseo que venderán a 200 y 150 euros, respectivamente. Para montaña se precisa 1 Kg de acero y 3 Kg de alumnio. Para paseo se presisan 2 Kg de acero y 2 Kg de aluminio. ¿Cuál es la combinación con la que obtendrán el máximo beneficio?

2.Una empresa produce dos tipos de lotes de productos para comercializar (A y B) donde combina unas determinadas cantidades de dos productos (M y N). En el lote A combina 1 M con 5N y en el lote B combina 2 M con 2N. Si disponemos de 40 productos M y 120 de N en el almacén, ¿qué combinación de lotes permitirá maximizar el número de lotes totales?
