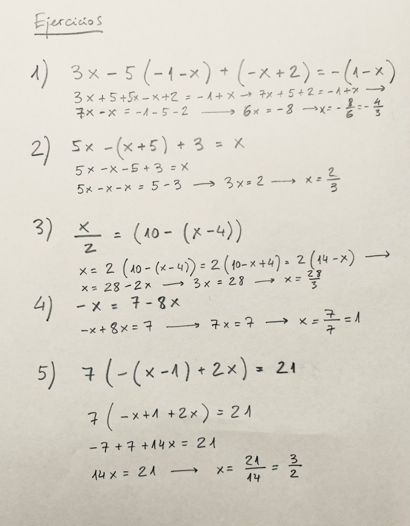
3. Operaciones con una incógnita. Ecuaciones. Solución de los ejercicios Deja un comentario Comparte esto: Compartir en X (Se abre en una ventana nueva) X Comparte en Facebook (Se abre en una ventana nueva) Facebook Me gusta Cargando...