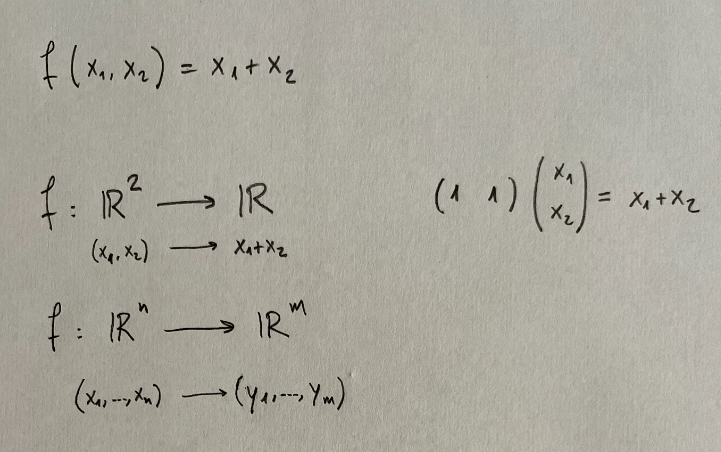
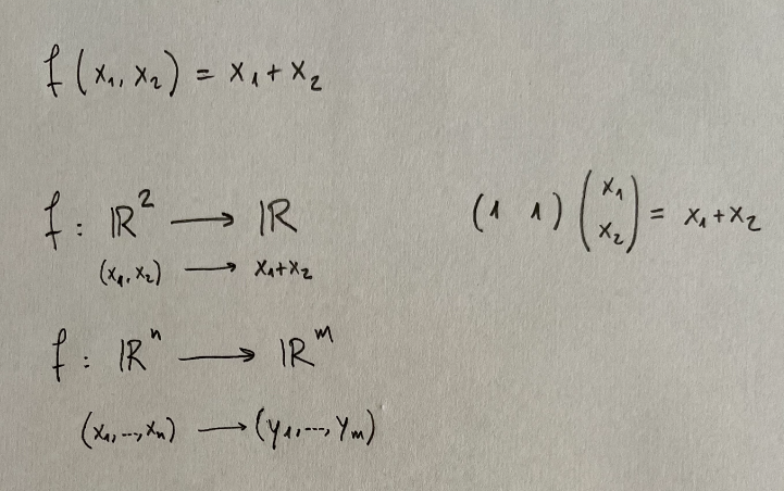
Funciones vectoriales de variable vectorial lineales Deja un comentario Siempre que sea posible es muy interesante tratar de representar estas funciones. Veamos un ejemplo posible: Comparte esto: Compartir en X (Se abre en una ventana nueva) X Comparte en Facebook (Se abre en una ventana nueva) Facebook Me gusta Cargando...