Una función es un tipo especial de relación. Es una relación que a todo elemento del conjunto A (denominado Dominio) se le asocia un único elemento del conjunto B (denominado Codominio o Recorrido).



Antiimagen de un punto del codominio:





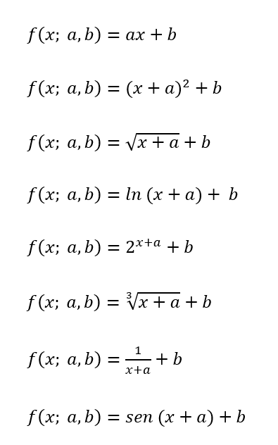
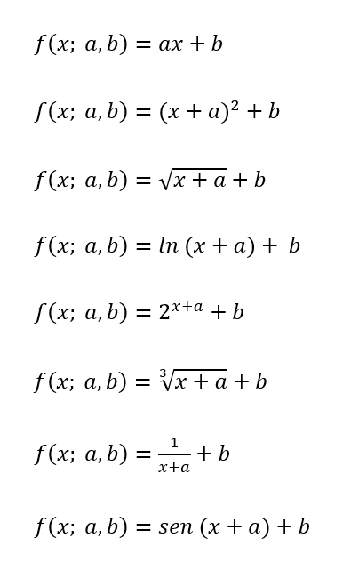
Es muy importante practicar con diferentes tipos de funciones vistas durante el bachillerato. La parametrización es una forma de ver diferentes funciones y su representación de una forma unitaria:















