1.A partir de la tabla siguiente:

¿Qué porcentaje de mujeres tienen IMC normal (entre 20 y 25) en cada uno de los tres grupos?
2.A partir del gráfico siguiente:

¿Cuáles son los valores de R2 en cada una de las dos regresiones lineales?
3.A partir de la tabla siguiente:

a)¿Qué porcentaje de pacientes tienen en el ingreso un colesterol por encima de 200?
b)¿Qué porcentaje de pacientes tienen en el ingreso una edad por encima de 66?
c)¿Qué porcentaje de pacientes tienen a los 3 meses una Albúmina por encima de 4.4?
d)¿Qué porcentaje de pacientes tienen en el ingreso Linfocitos entre 1300 y 1700?
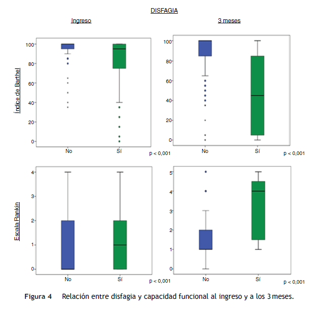
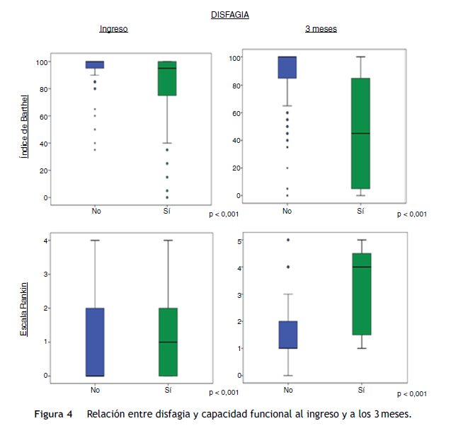
4.A partir del gráfico siguiente:

a)¿Qué porcentaje de pacientes que tienen disfagia en el ingreso tienen un valor de Rankin por debajo de 2?
b)¿Qué porcentaje de pacientes que no tienen disfagia a los tres meses tienen un valor de Barthel por debajo de 85?
c)¿Qué porcentaje de pacientes que tienen disfagia en el ingreso tienen un valor de Barthel por debajo de 95?
5)A partir de la tabla siguiente:

¿Cuántos p-valores se obtienen a partir de una Ji-cuadrado?