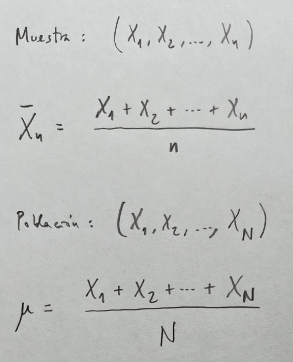
Media:


Frecuencia:

Mediana:


Primer cuartil:

Tercer cuartil:

Desviación estándar:



Índice de Gini:



Rango:

Rango intercuartílico (IQR):

Box-Plot:



Distribución:


















Semejanzas entre distribuciones:







Asimetría estandarizada:

Curtosis estandarizada:


Estandarización:


Correlación:





Coeficientes Regresión lineal:


R2:

Ji-cuadrado:




Odds ratio (OR):








Riesgo relativo (RR):


Coeficientes Regresión logística:







Curva de supervivencia:



Diferencia de curvas de supervivencia:

Función de riesgo:

Hazard ratio (HR):


Sensibilidad:


Especificidad:

Valor predictivo positivo:

Valor predictivo negativo:

Curva ROC:




Área bajo la curva (AUC):




Dendrograma:






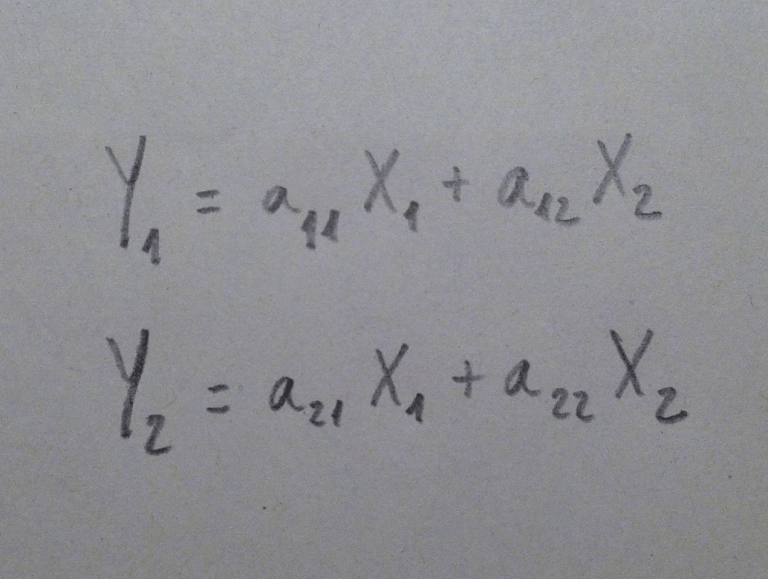
Componentes:







d de Cohen:


Índice Kappa:




Coeficiente de correlación intraclase:



Comparación de medias, medianas y proporciones:


Diferencia de medianas:

Mapa de la comparación de medias, medianas y proporciones:

Comparación de Desviaciones estándar:
