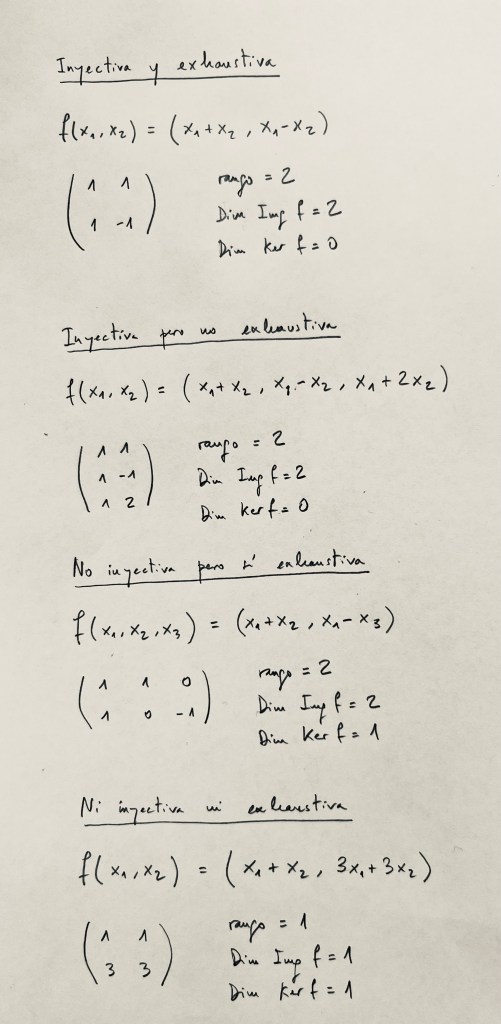
Función matemática 12 (Anexo 1) Deja un comentario Ejemplos de la cuatro posibilidades de funciones vectoriales de variable vectorial, según la inyectividad y la exhaustividad: Comparte esto: Compartir en X (Se abre en una ventana nueva) X Comparte en Facebook (Se abre en una ventana nueva) Facebook Me gusta Cargando...