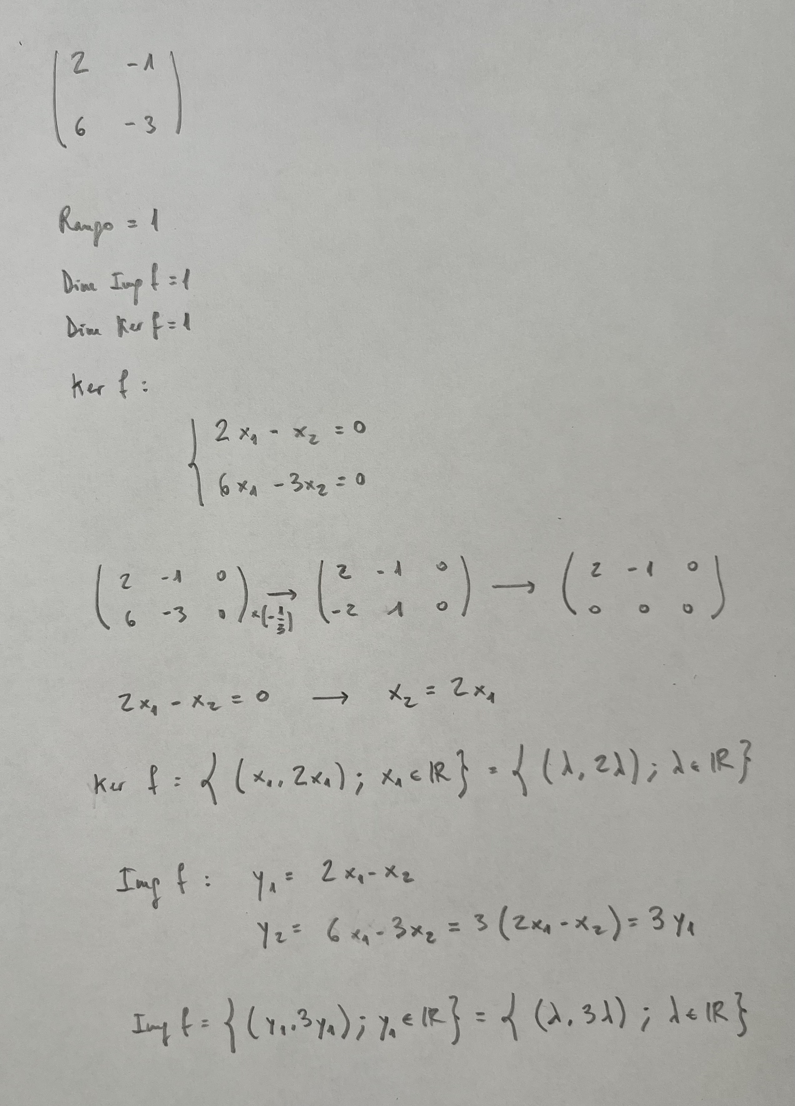
Función matemática 11 (Anexo 3) Deja un comentario 1) 2) 3) SOLUCIONES: 1) 2) 3) Comparte esto: Compartir en X (Se abre en una ventana nueva) X Comparte en Facebook (Se abre en una ventana nueva) Facebook Me gusta Cargando...