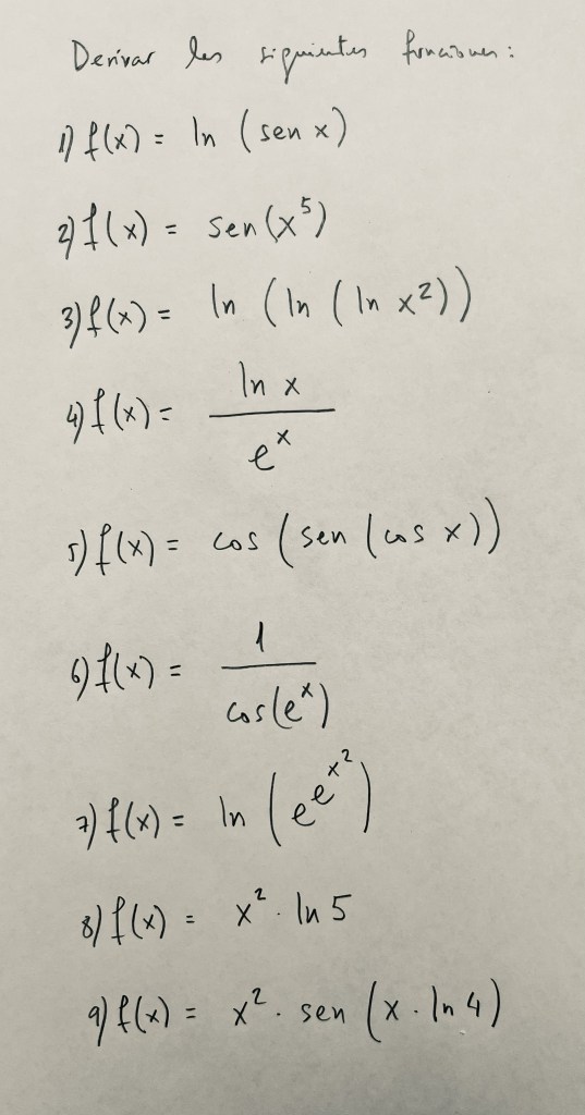
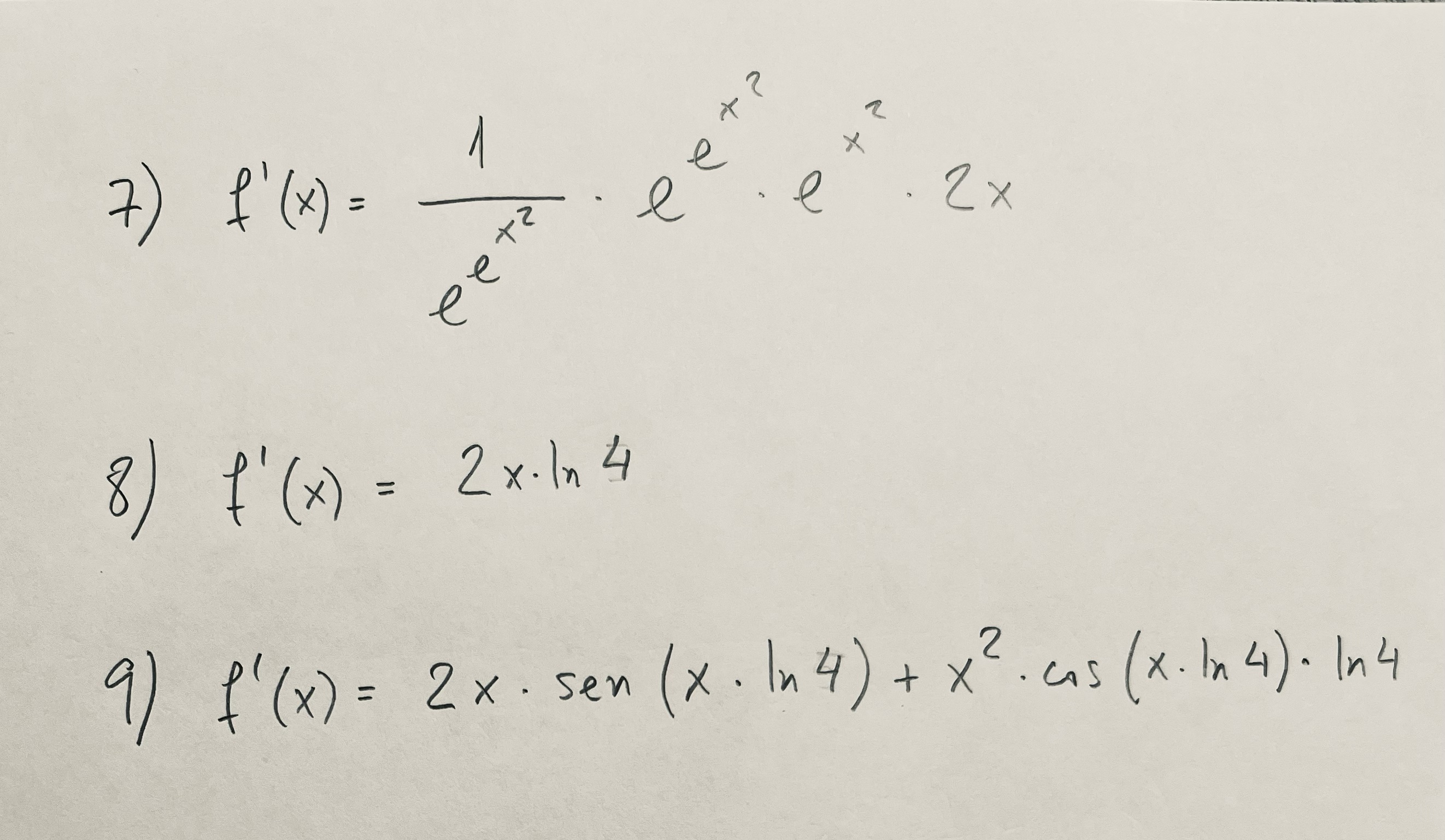
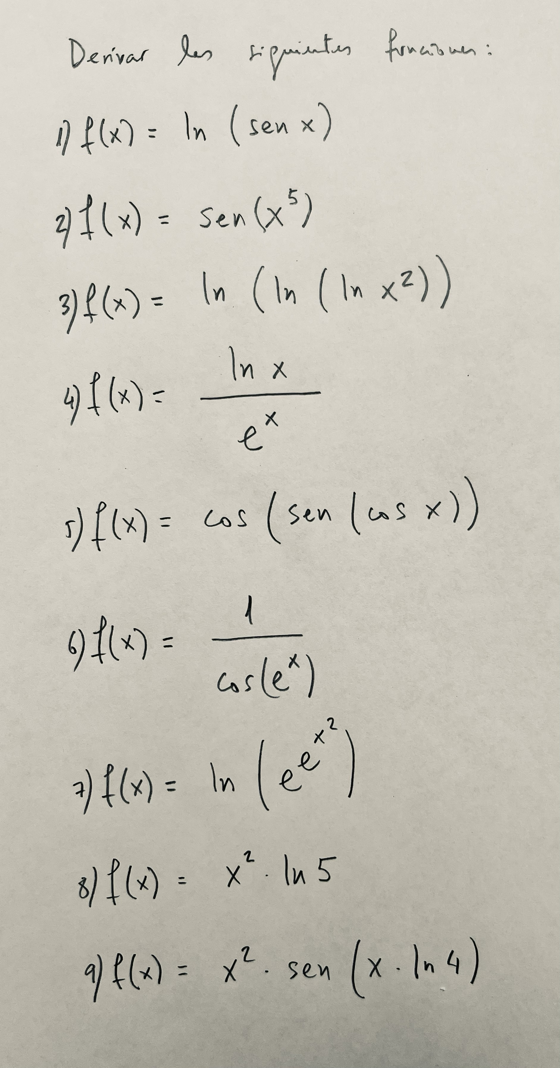
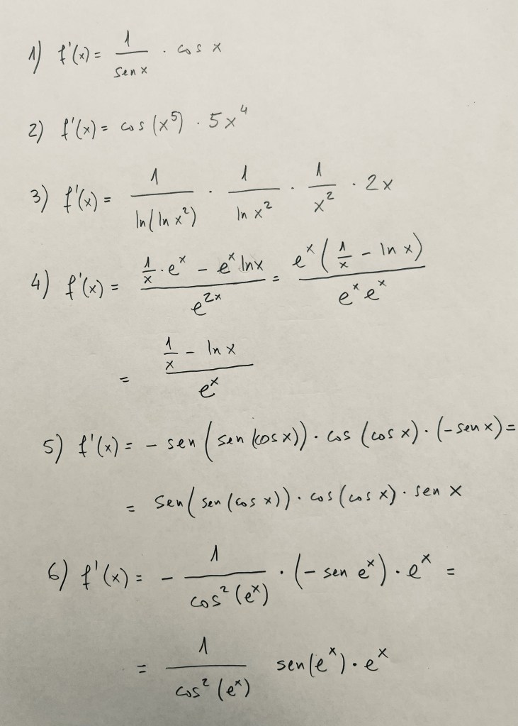
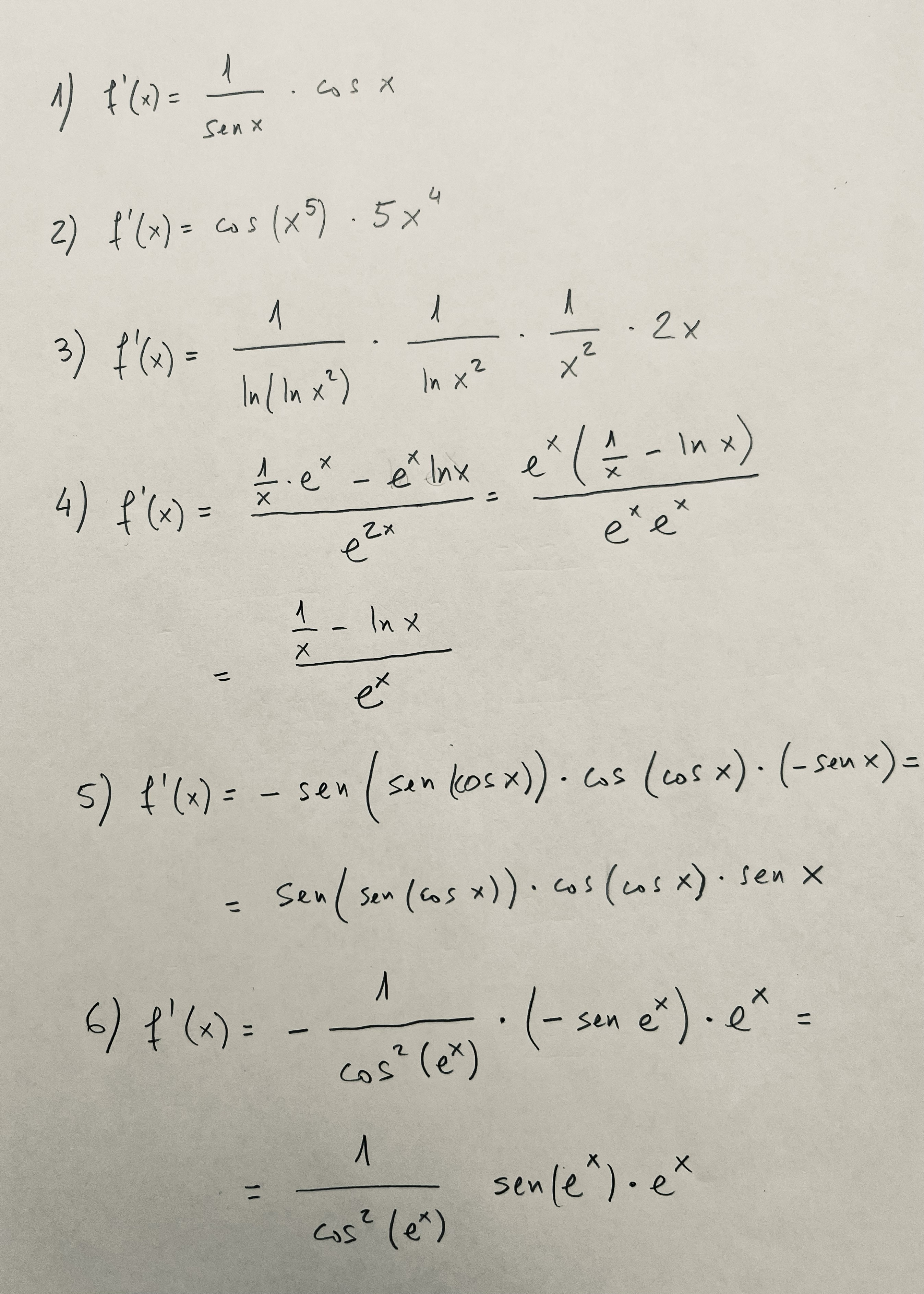
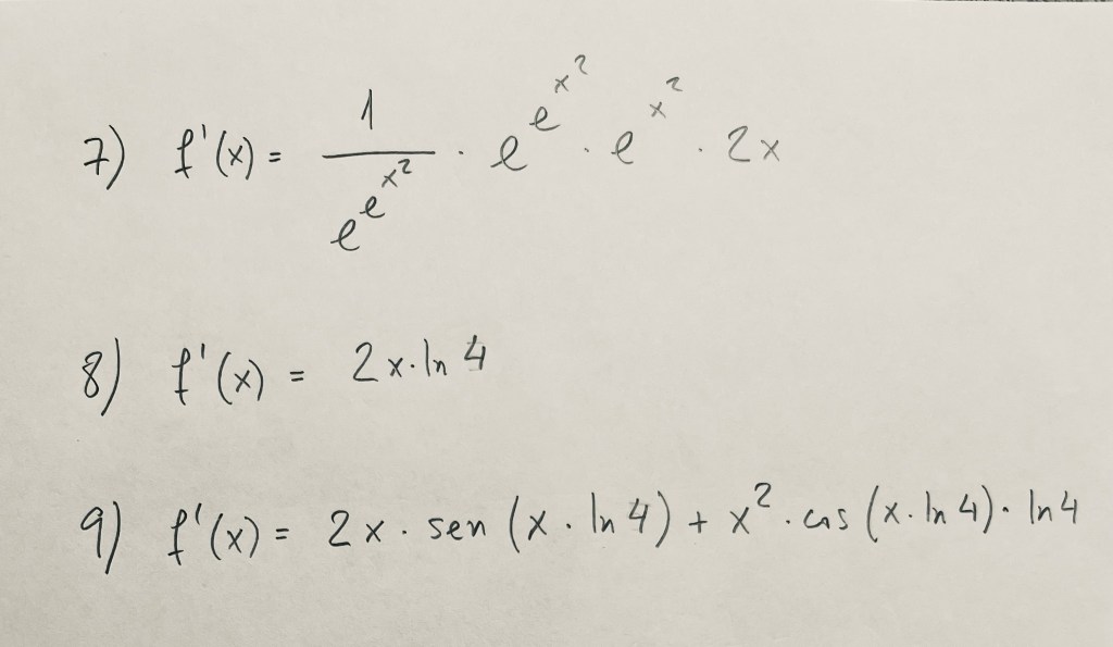
Función matemática 7 (Anexo 1) Deja un comentario SOLUCIONES: Comparte esto: Compartir en X (Se abre en una ventana nueva) X Comparte en Facebook (Se abre en una ventana nueva) Facebook Me gusta Cargando...