
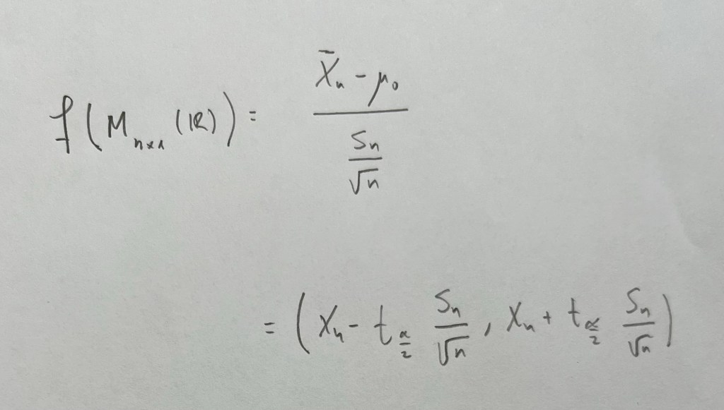
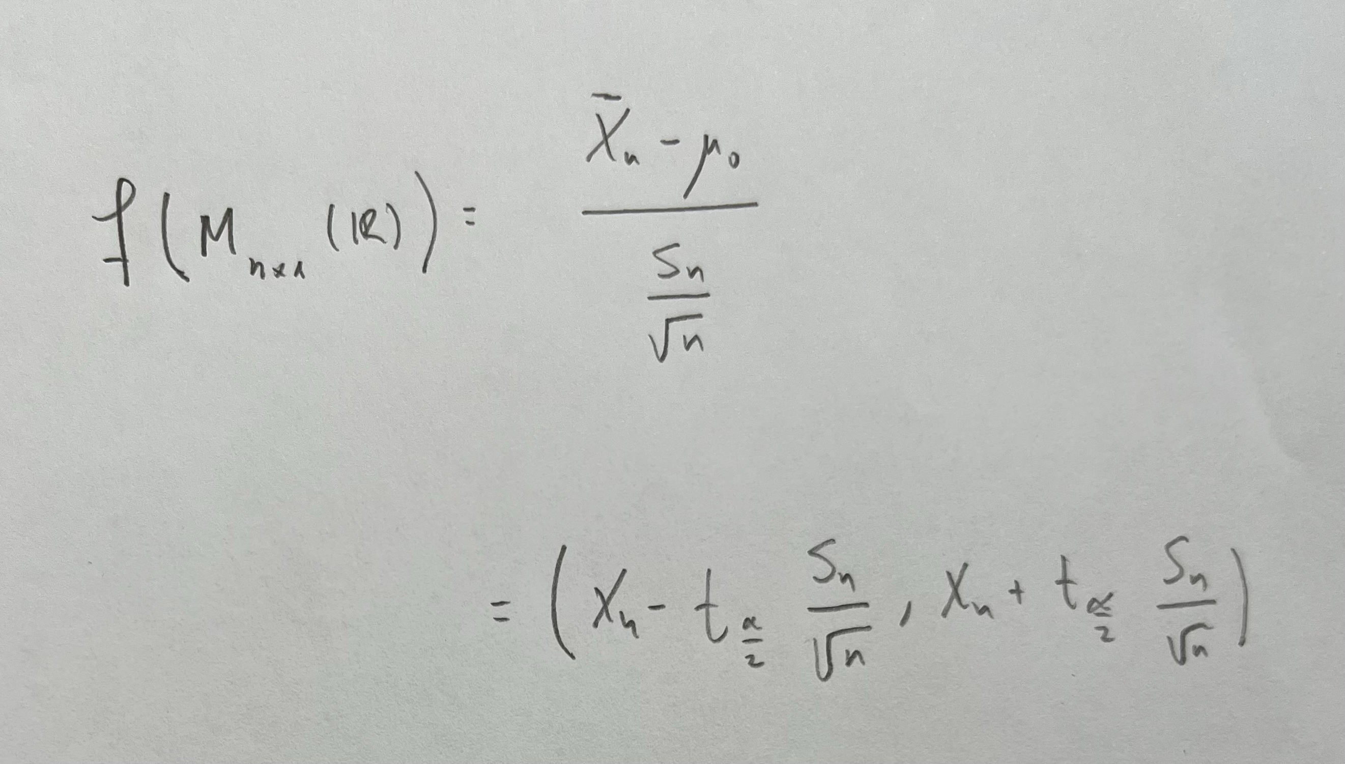
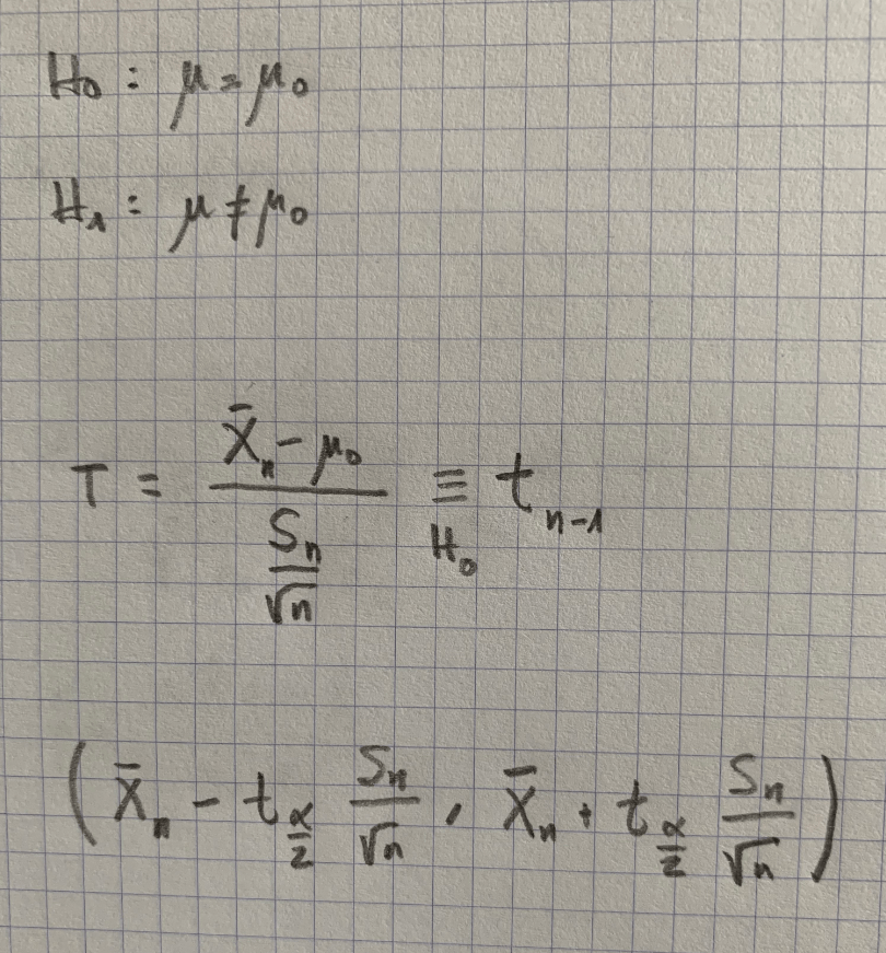
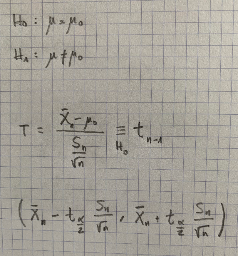
Test de la t de Student de una población:



Este test supone que la variable estudiada se ajusta suficientemente a la distribución normal.
Tenemos diferentes formas para hacer esta comprobación:
1.Asimetría estandarizada y Curtosis estandarizada.
2.Test de normalidad:
a.Test de Shapiro-Wilk.
b.Test de Kolmogorov-Smirnov.
c.Test de la Ji-cuadrado de ajuste a una distribución.
MUY IMPORTANTE: En un test de normalidad la Hipótesis nula es que hay ajuste. Por lo tanto, un p-valor superior a 0.05 indicará suficiente ajuste y un p-valor inferior a 0.05 indicará insuficiente ajuste.
Si no hay suficiente ajuste a la distribución normal se dispone de dos test que no precisan ese ajuste pero que entonces no son sobre la media sino sobre la mediana:
Test de los signos:


Test de Wilcoxon o Test de los rangos con signos:

