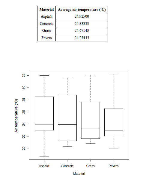
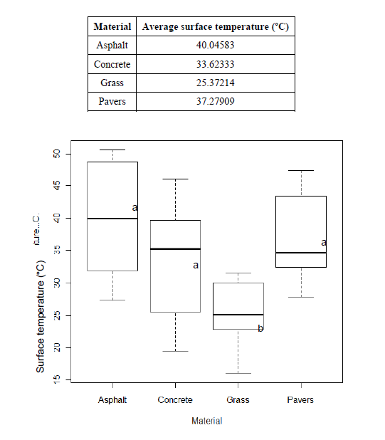
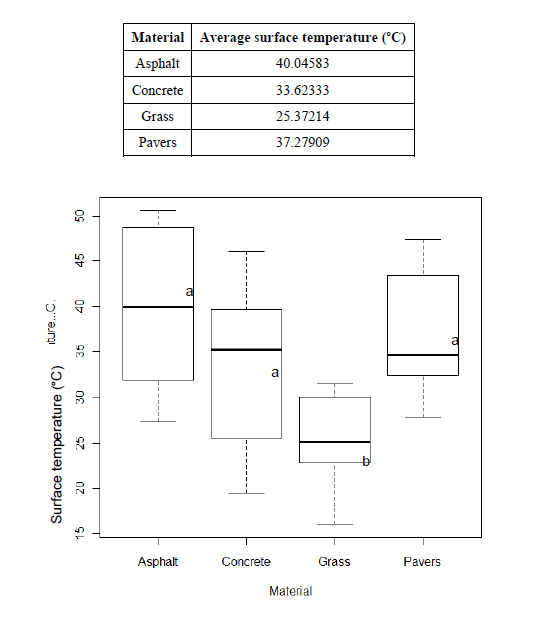
Problema de Ciencias ambientales 2 Deja un comentario Comentar brevemente este estudio donde se compara la temperatura generada por distintos pavimentos. Comparte esto: Compartir en X (Se abre en una ventana nueva) X Comparte en Facebook (Se abre en una ventana nueva) Facebook Me gusta Cargando...