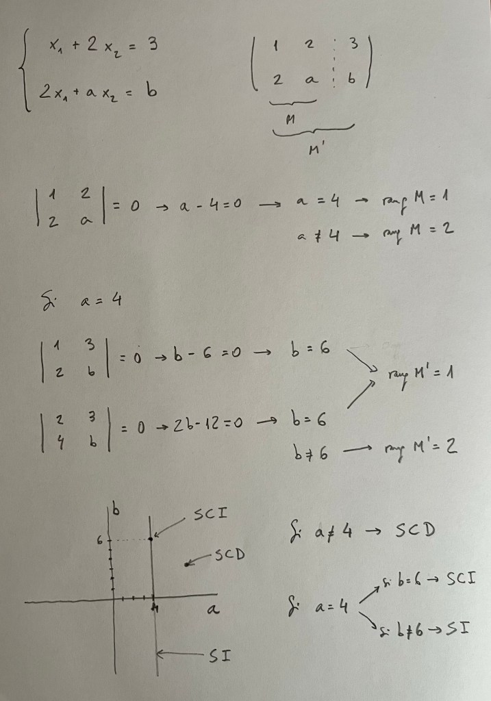
Función matemática 11 (Anexo 2): Ejemplos de sistema de ecuaciones Deja un comentario Comparte esto: Compartir en X (Se abre en una ventana nueva) X Comparte en Facebook (Se abre en una ventana nueva) Facebook Me gusta Cargando...