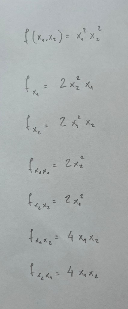
Función matemática 40: Funciones reales de variable vectorial no lineales. Extremos relativos Deja un comentario Búsqueda de extremos relativos: Comparte esto: Compartir en X (Se abre en una ventana nueva) X Comparte en Facebook (Se abre en una ventana nueva) Facebook Me gusta Cargando...