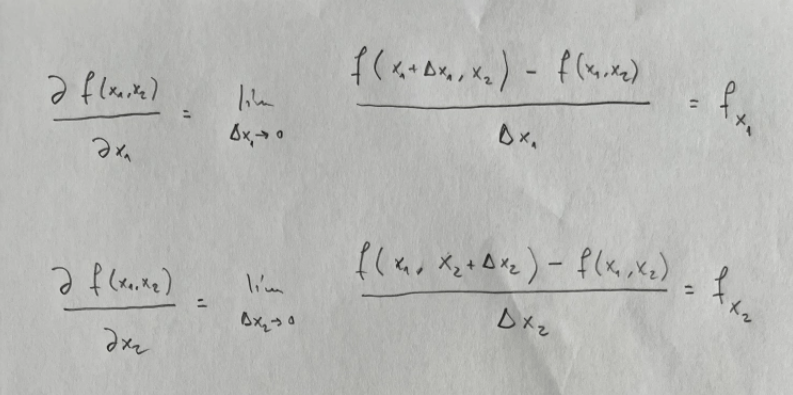
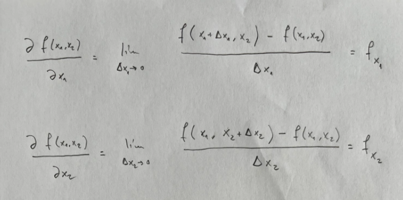
Función matemática 38: Funciones reales de variable vectorial no lineales. Derivadas parciales Deja un comentario Comparte esto: Compartir en X (Se abre en una ventana nueva) X Comparte en Facebook (Se abre en una ventana nueva) Facebook Me gusta Cargando...