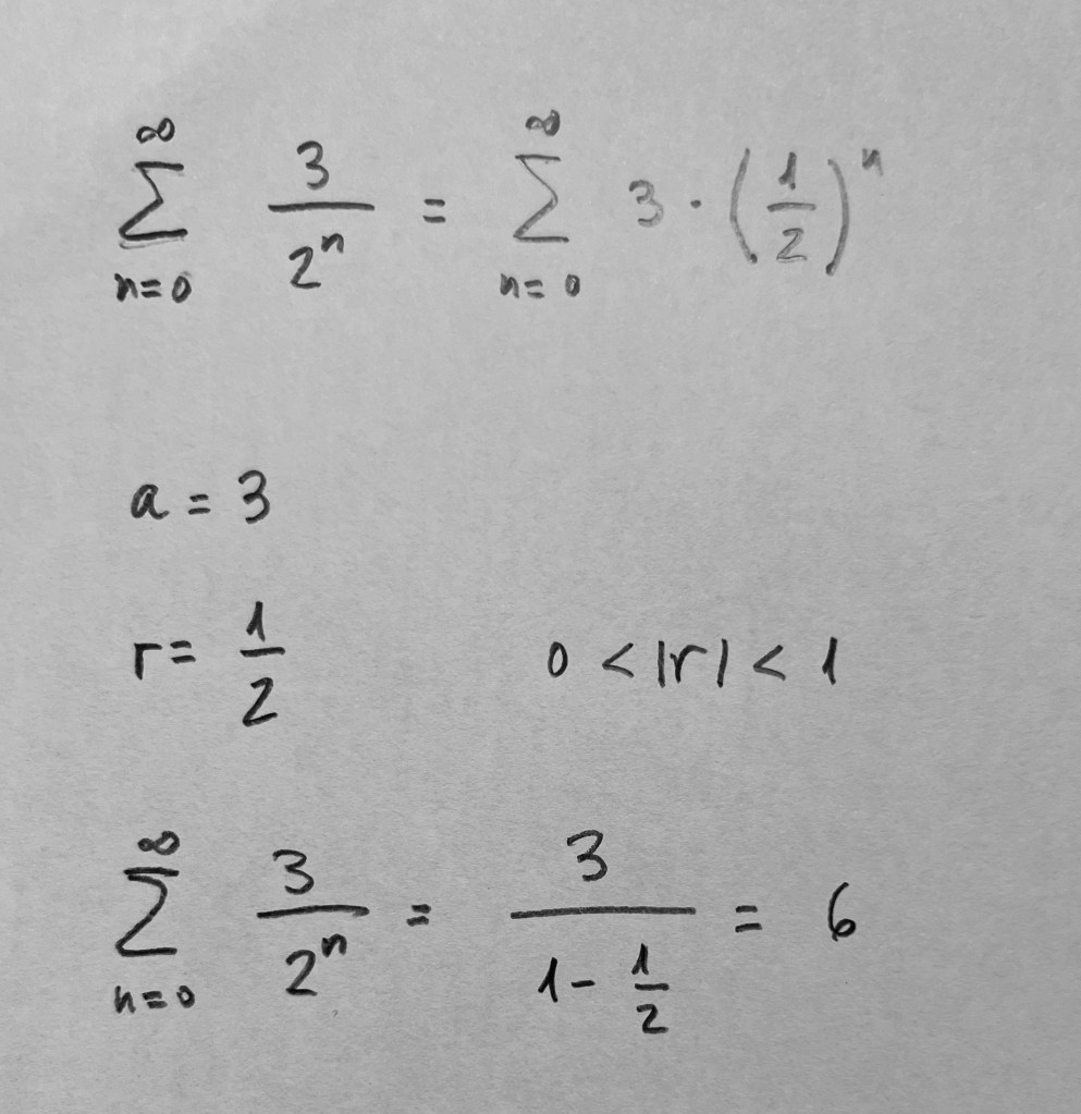
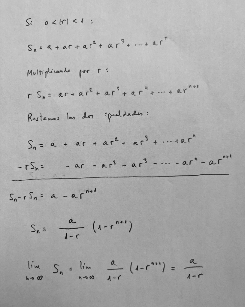
Función matemática 27: Series geométricas Deja un comentario Comparte esto: Compartir en X (Se abre en una ventana nueva) X Comparte en Facebook (Se abre en una ventana nueva) Facebook Me gusta Cargando...