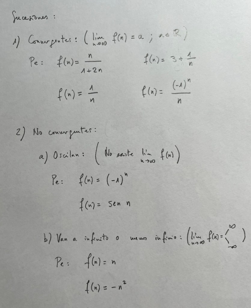
Función matemática 23: Funciones reales de variable natural o Sucesiones. Convergencia de sucesiones Deja un comentario Comparte esto: Compartir en X (Se abre en una ventana nueva) X Comparte en Facebook (Se abre en una ventana nueva) Facebook Me gusta Cargando...