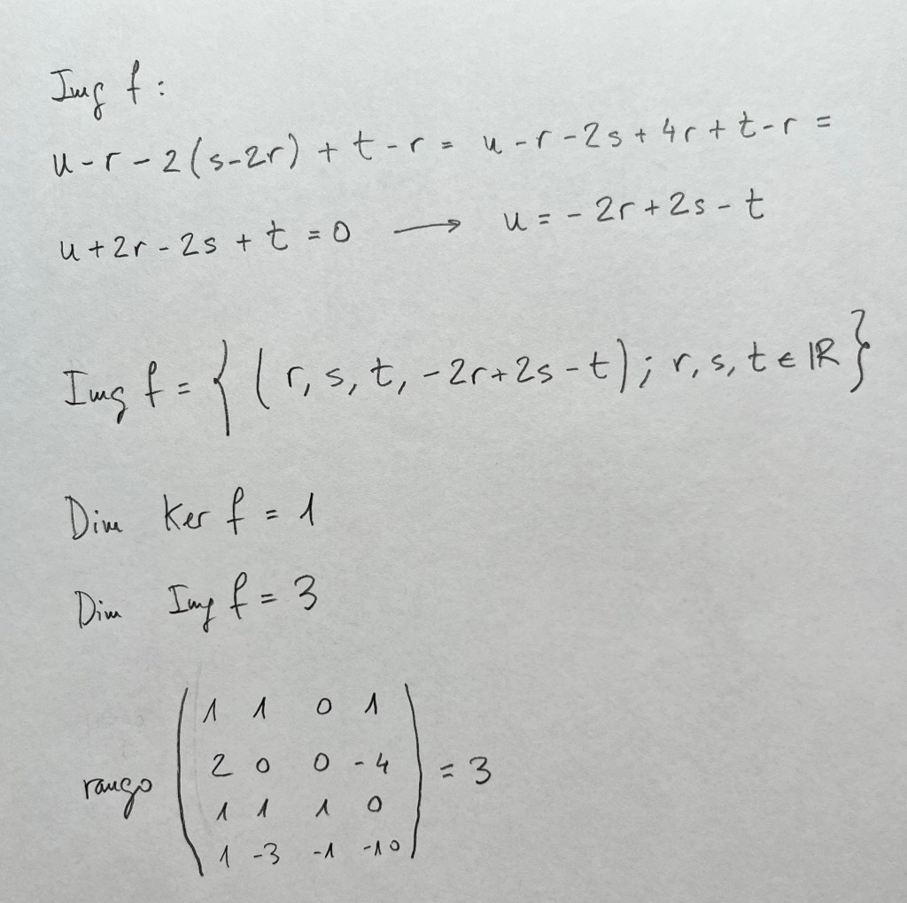
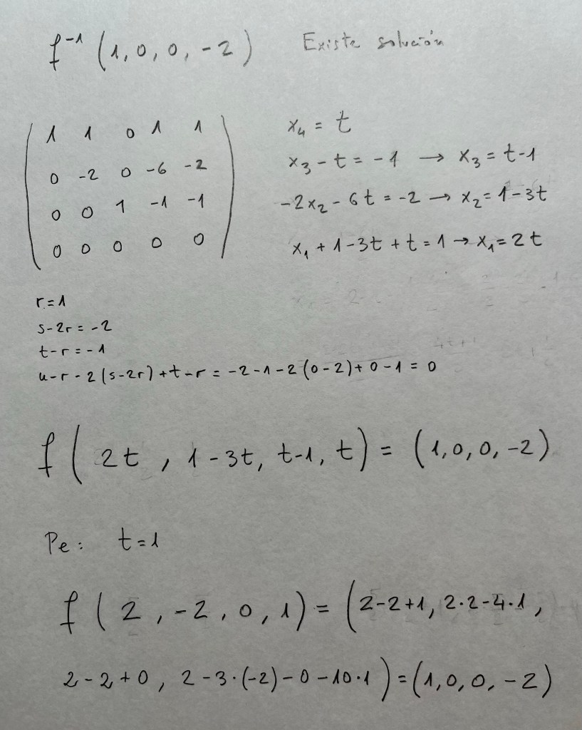
Función matemática 16: Sistemas de ecuaciones. Valores propios. Vectores propios Deja un comentario Comparte esto: Compartir en X (Se abre en una ventana nueva) X Comparte en Facebook (Se abre en una ventana nueva) Facebook Me gusta Cargando...