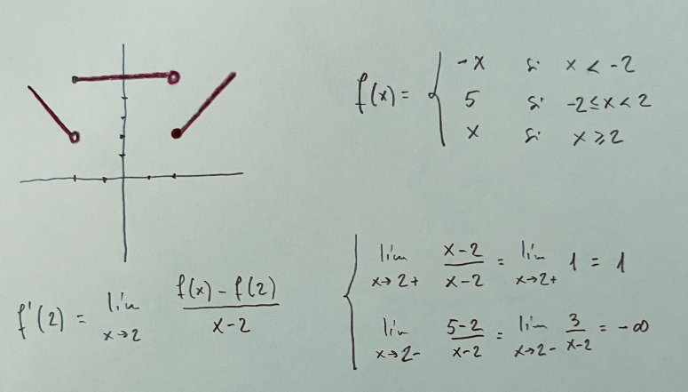
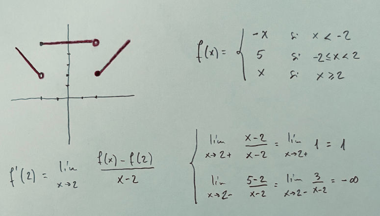
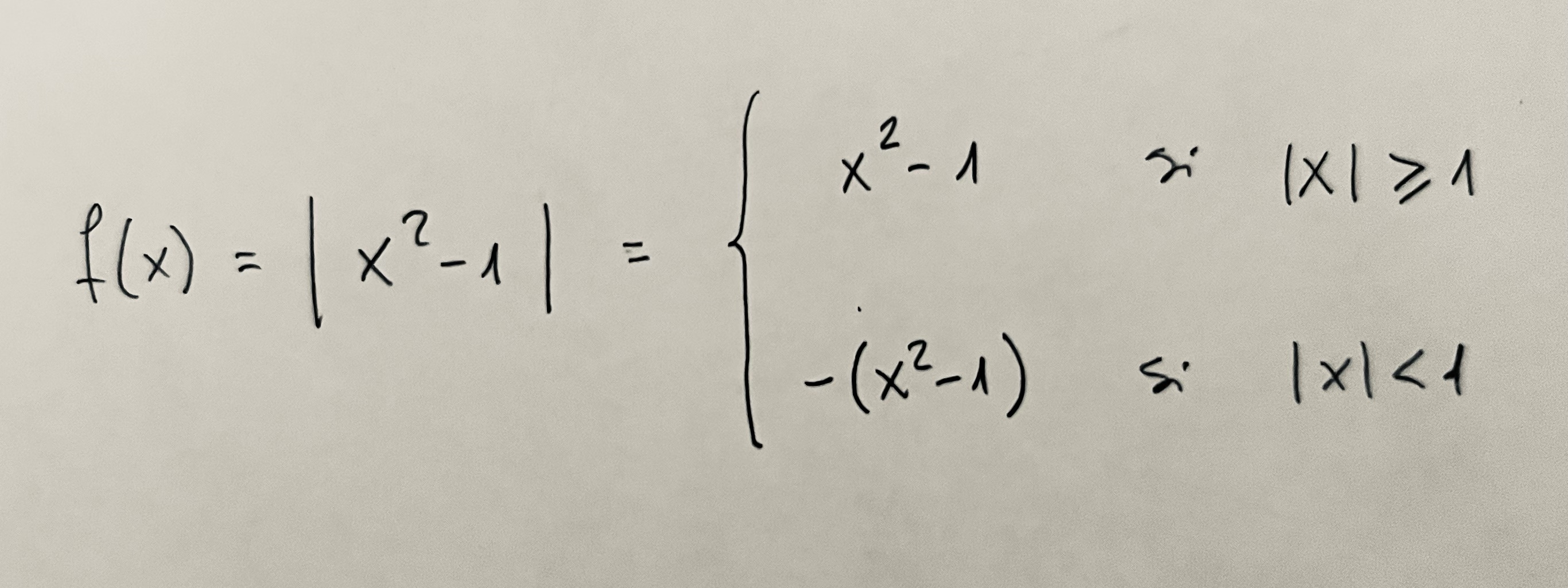
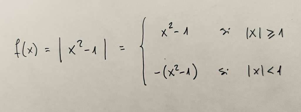
Función matemática 6: Estudio de la derivada en un punto Deja un comentario Comparte esto: Compartir en X (Se abre en una ventana nueva) X Comparte en Facebook (Se abre en una ventana nueva) Facebook Me gusta Cargando...