1c. Tenemos simetría pero no ajuste a la normal porque la curtosis supera ampliamente el umbral. No podemos afirmar, pues, ni a, ni b, ni d. Sin embargo, c sí, puesto que requiere únicamente simetría.
2b. Para los tres valores de los estadísticos de test (25.19, 3.86 y 0.43) el valor de 4.75 es el único que es coherente con los p-valores. El 25.19 supera en mucho el umbral puesto que el p-valor es muy pequeño, el 3.86 no lo supera pero está cerca, por eso el p-valor es mayor que 0.05 pero muy cercano a él y el 0.43 está muy lejos de superar el umbral, por eso el p-valor es muy superior a 0.05.
3.b. Es claro que el grupo 1 y el 2 los intervalos se solapan, el 2 y el 3 también, pero el 1 y el 3 no se solapan.
4c. La ordenada en el origen tiene un valor estimado de 4.01 y un error estándar de 1. Si contruimos un IC del 95% debemos sumar y restar a 4.01 dos veces ese error estándar.
5b. La respuesta a no es cierta porque la información que tenemos no nos habla sobre la significación de la pendiente. Si nos fijamos en el IC descriptivo podemos observar que la desviación estándar para un individuo con valor x=5 es aproximadamente 3.88 (10.57-6.99). Como este IC se ha hecho con con desviaciones estándares, si cogemos una desviación estándar será 1.94, que si le sumamos y restamos este valor a 6.69 nos da la respuesta b.
6b. EXP(1.01)=2.74; EXP(0.07)=1.07; EXP(1.95)=7.02
7b. Es una variable continua, son muestras independientes, hay normalidad porque los p-valores de ambas muestras son superiores a 0.05. Hay igualdad de varianzas. Debe aplicarse el test de la t de Student de varianzas iguales.
8c. Al estar comparando dos medias si la diferencia de medias muestral es 0.5 y el error estándar es 0.4, un IC del 95% de la diferencia de medias poblacional será (-0.3, 1.3) porque consiste en sumar y restar dos veces el error estándar a la diferencia de medias obtenida. Por lo que el p-valor será superior a 0.05 puesto que el IC contiene al 0.
9c. Si ordenamos la muestra tenemos (1, 3, 4, 5, 6, 8, 9, 10, 16), como son nueve valores el primer cuartil es 4 y el tercero es 9. El rango intercuartílico es 5.
10a. Estamos ante un contraste de hipótesis que el criterio de rechazo es estar fuera del intervalo (-1.96, 1.96). El valor obtenido del estadístico es 3. Se rechaza la hipótesis nula, por lo tanto. La d, pues, claramente descartada. La b da un p-valor muy próximo a 0.05, el valor del estadístico en este caso debería estar fuera del intervalo pero muy próximo a -1.96 ó a 1.96; por ejemplo, -2.01. La c da un p-valor muy pequeño, debe estar mucho más alejado; por ejemplo, -17. La respuesta a es una respuesta más coherente. Si se observa la tabla de la t de Student se puede deducir este p-valor aproximadamente:

Si se observa la última fila de la tabla se observa que a la derecha de 3.09 el área es 0.001, a la izquierda, pues, de -3.09 también habrá un área de 0.001. Estamos hablando de que el estadístico de test ha dado -3, luego el p-valor es el área que hay a la izquierda de -3 y a la derecha de 3, sumadas. El p-valor exacto calculado con un ordenador es 0.0028. P
11b. La suma de los valores propios debe ser 5, los porcentajes deben sumar 100 y las componentes deben tener un orden de progresiva pérdida de varianza explicada.
12ac. Hay, por error, dos respuestas de 0.5. Si el IC es del 95, el error estándar debe ser la mitad del radio del intervalo. El radio es 1 (4.5-3.5).
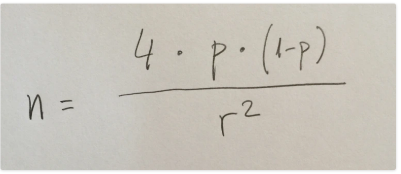
13b. Si calculamos el IC 95% con la fórmula:

Tomaremos p=0.5 porque no tenemos información previa. Y r=0.01.
14c. Es la única opción donde la concordancia es muy elevada.
15a. El error estándar es 0.05. La desviación estándar será, pues, 1.
16d. La amplitud de un intervalo de confianza de la diferencia de dos medias poblacionaes depende sólo del error estándar y éste depende de la relación entre desviación estándar y tamaño de muestra. En el apartado d no ha cambiado ni la desviación estándar ni el tamaño de muestra, por lo tanto, la amplitud (su diámetro) del intervalo no cambiará.
La c no es correcta en general porque es verdad que si el tamaño de muestra es menor y encima la desviación es mayor el intervalo se ampliará, pero esto no implica necesariamente que se amplíe tanto como para que acabe incluyendo al 0 un IC que era de (0.23, 1.14).
17d. Si la desviación estándar baja la potencia aumentará.
18b. Si vamos a la tabla de la chi-cuadrado y miramos la fila de valor 9 (=(4-1)x(4-1)), veremos que la derecha de 4,1682 hay un área de 0.90:

19c. Ya sabemos que lo que le pase a la correlación le pasa a la pendiente. Este caso es muy sutil, pero observemos que en la correlación el IC del 95% es (-0.43, 0.02), con muchísimo peso en la parte negativa y el de la pendiente es (-0.04, 5.13) con muchísimo peso ahora en la parte positiva. Esto tampoco sucede en la realidad. Correlación y pendiente tienen destinos comunes y aquí hay una incoherencia.
20b. La curva de Lorenz y el coeficiente de Gini miden la diversidad del reparto de un total. En la muestra b se puede observar que la zona que tiene más temperatura es casi el doble de la temperatura de la zona más fría. Esto no sucede en las otras muestras. El coeficiente de Gini es el mayor, porque es donde hay más desigualdad en el reparto del total.