Vamos a ver aquí diferentes tablas y gráficos donde se usa la Estadística en Oceanografía:
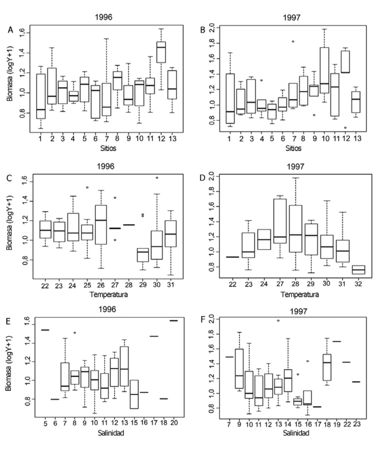
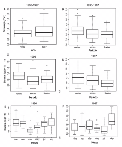
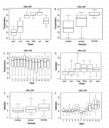
1. Veamos un ejemplo característico de uso del gráfico Box-Plot en oceanografía, donde se eligen una serie de puntos de muestreo y se evalúan en ellos una serie de variables típicas:
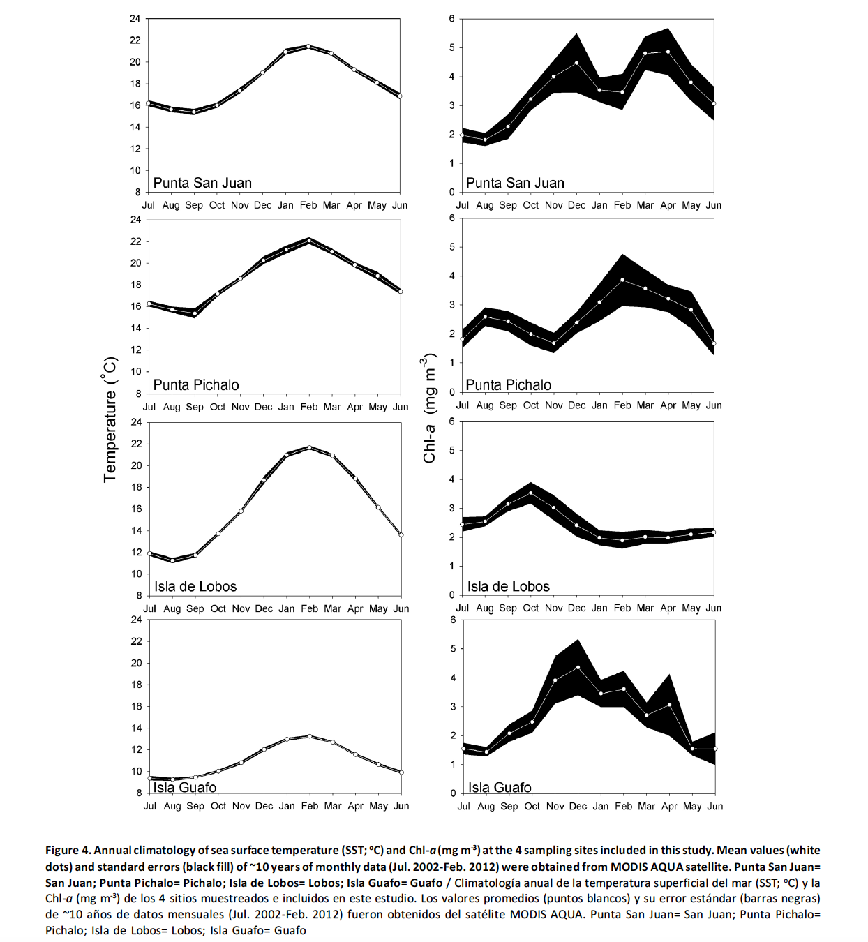
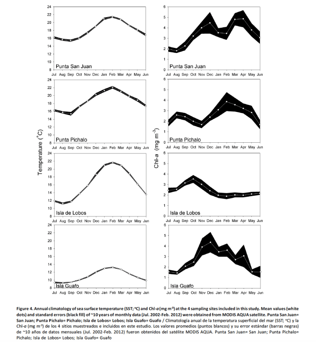
2. Veamos a continuación diferentes usos de la media, la desviación típica y el error estándar. El gran problema con el uso de esos dos conceptos (desviación estándar y error estándar) es que, en muchas ocasiones, no queda claro cuál se ha usado y el problema es que el que escribe el artículo tampoco tiene claro cuál le interesa usar en un momento determinado.
A continuación puede verse un redactado de una información descriptiva:
3. Veamos ahora diferentes usos del concepto de correlación:
4. Veamos ahora diferentes ejemplos donde aparece la regresión:
5.Técnicas de comparación:



















