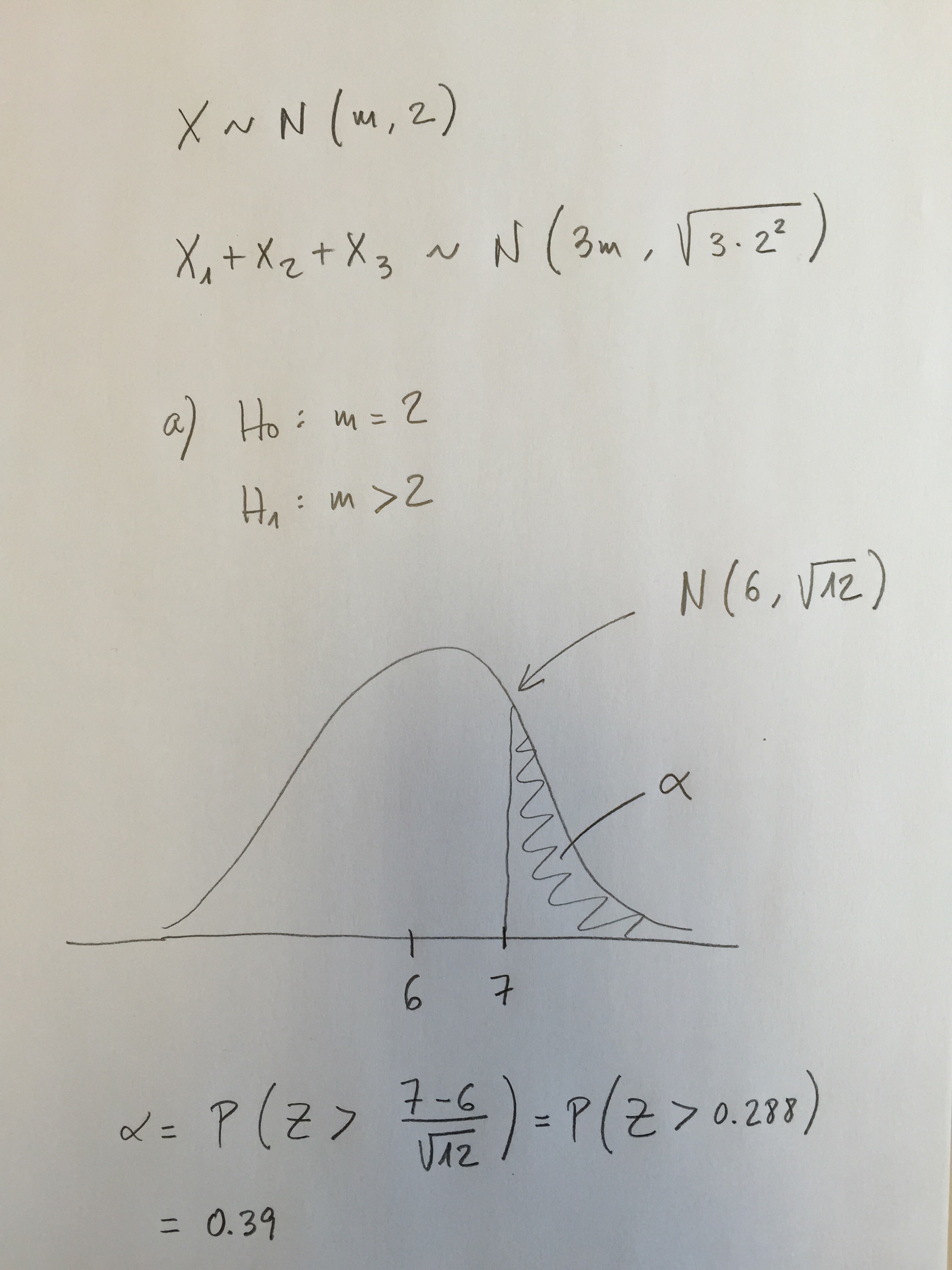
1. Sea X una variable que se ajusta bien a una distribución Normal de media m y desviación típica 2.
a) Construimos un test donde la hipótesis nula es m=2 y la hipótesis alternativa m>2 y definimos una región crítica como: W= «muestras de tamaño 3 de modo que la suma supere las 7 unidades». Obtener el error tipo I.
b) Determinar el tamaño de muestra necesario para detectar una diferencia de 0.5 unidades con error tipo I igual a 0.05 y error tipo II igual a 0.15.
Solución:
Observemos que para determinar el tamaño de muestra vamos a trabajar con la variable suma de tres observaciones y con la media muestral de esa variable. Buscar el tamaño de muestra es buscar cuál será el valor de la desviación estándar de la variable media muestral (del denominado error estándar), o sea, buscar cuál es el valor de la amplitud de esa campana de Gauss para que al construir una zona crítica de área 0.05, dibujada con color verde, el área que indica el error de tipo II sea 0.15. Observemos que las dos campanas de Gauss dibujadas, una con media 6 y la otra con media 6.5, es porque la diferencia mínima que se pretende detectar es de 0.5.
Los valores 1.645 y 1.038 se obtienen de las tablas de la N(0, 1).
2. Sea X una variable discreta. Construimos un test donde la hipótesis nula es que la distribución de X es una Poisson de parámetro 2 mientras que la hipótesis alternativa afirma que es una distribución geométrica (Pascal) de parámetro 0.1.
Se define un criterio de decisión del siguiente modo: Se toma una muestra de tamaño 2 y se acepta la hipótesis alternativa si ninguno de los dos valores obtenidos en la muestra es 0.
Obtener error tipo I y error tipo II.
Solución:
Observemos que lo importante aquí es saber delimitar cuál es la zona crítica W, la zona que se usará como criterio de decisión. Para el cálculo tanto del error de tipo I como de la potencia (y después del error de tipo II) debemos calcular el área de esa zona crítica si es cierta la hipótesis nula (para el cálculo del error de tipo I) y si es cierta la hipótesis alternativa (para el cálculo de la potencia).
3. Se desea realizar un contraste en que la hipótesis nula es que una variable sigue una distribución Poisson de parámetro 3, mientras que la alternativa es que esa variable tiene por densidad la siguiente función: f(x)=1/9 si x=0, 1, …, 8. Si el criterio de decisión consiste en aceptar la hipótesis alternativa si, al tomar dos valores muestrales, en condiciones independientes, los dos valores son iguales o mayores a 6 unidades, se pide el error tipo I y la potencia.
Solución:
Observemos que lo importante aquí, de nuevo, es saber delimitar cuál es la zona crítica W, la zona que se usará como criterio de decisión. Para el cálculo tanto del error de tipo I como de la potencia debemos calcular el área de esa zona crítica si es cierta la hipótesis nula (para el cálculo del error de tipo I) y si es cierta la hipótesis alternativa (para el cálculo de la potencia).



