El experimento está configurado por tres factores. El factor Tipo de Hospital, fijo, y a dos niveles. El factor Aparato o Sistema de desinfección, fijo, también, y a dos niveles. El factor Sala, aleatorio y anidado en Hospital. Por lo tanto, Hospital y Aparato están cruzados y Aparato y Sala también.
El modelo es el siguiente:
Si aplicamos el Algoritmo de Bennet-Franklin tenemos las siguientes esperanzas de los cuadrados medios:
A partir de estas esperanzas de los cuadrados medios debemos hacer los siguientes cocientes en los contrastes de hipótesis de este modelo:
La tabla ANOVA es, pues, la siguiente:
Esto nos da la siguiente estimación de los parámetros y de las componentes de la varianza:
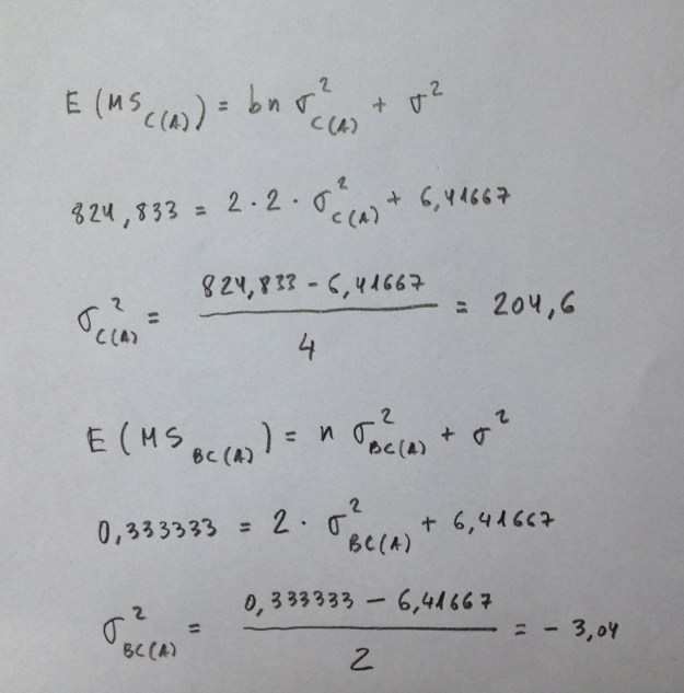
El cálculo de la componente de la varianza del residuo sale del valor de cuadrado medio del residuo en la tabla ANOVA. Las otras dos de los siguientes cálculos a partir de las esperanzas de los cuadrados medios:
Evidentemente la componente de la varianza de la interacción entre Aparato y Sala, anidado dentro de Hospital, ya hemos visto que no era significativa, en la tabla ANOVA. La estimo para que se vea cómo se realiza. En ocasiones aunque no sea significativa es interesante estimarla y dar el valor de esa estimación. Evidentemente, si la estimación es negativa en ningún caso se dará tal estimación. Una varianza nunca puede ser negativa. Es un artefacto de la estimación. Al ser la componente tan insignificante, puede que por azar la estimación sea negativa. En este caso no se diría que la componente de la varianza estimada es -3,04 sino que se diría que es, simplemente, 0.





