Test Log-Rank de comparación de curvas de supervivencia

El Test Log-Rank es un contraste de hipótesis que comparar curvas de supervivencia. Se pueden comparar dos o más de dos.

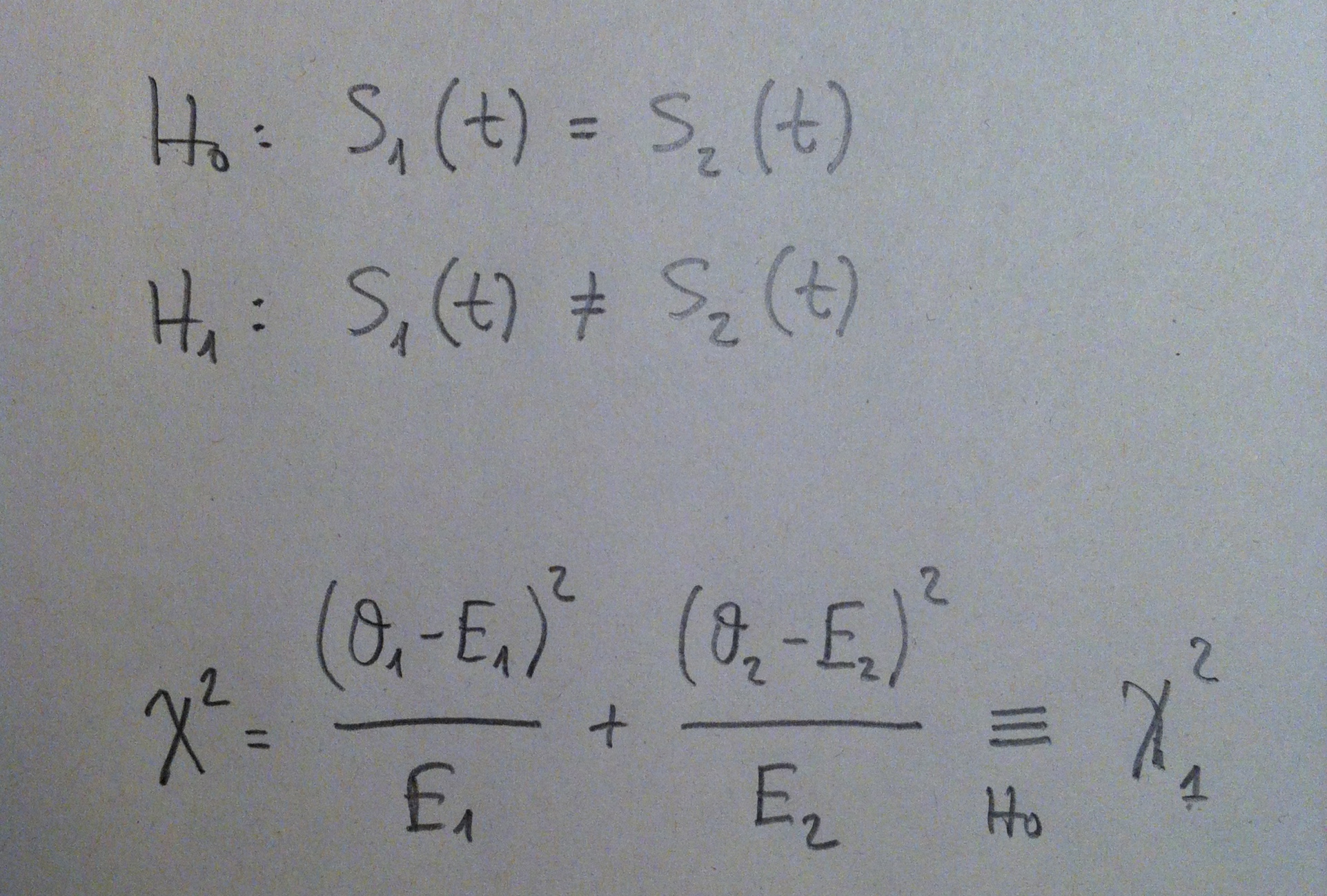
Para comparar dos curvas de supervivencia el Test es el siguiente:

IMG_4828

Veámoslo en un ejemplo. Supongamos estos dos grupos, cada uno con su curva de supervivencia que es evidentemente distinta muestralmente. El problema es ver si esta diferencia es estadísticamente significativa. Apliquemos el Test:

IMG_4829

Como puede verse, a pesar de que las diferencias muestrales son sustanciales esa diferencia no es significativa. Veamos el siguiente cambio. He creados dos grupos que repiten cada uno de los cinco valores anteriores. Por lo tanto, las diferencias entre curvas se mantienen pero ahora con un tamaño muestral mayor. Recordemos que el tamaño muestral es determinante a la hora de detectar diferencias estadísticamente significativas. Veamos cómo van a cambiar las cosas. Calculemos el Test para estos nuevos datos:

IMG_4830

Como puede verse ahora sí tenemos un resultado significativo. Ahora las diferencias son estadísticamente significativas. Ahora sí que ya podemos afirmar que las dos curvas de supervivencia poblacionales son distintas.

Por lo tanto, antes el tamaño muestral jugaba en contra de la significación estadística. Ahora el tamaño muestral es lo suficientemente grande como para que podamos decir que las diferencias que antes veíamos no pueden ser atribuibles al azar del muestreo.

5 comentarios en “Test Log-Rank de comparación de curvas de supervivencia

      1. Avatar de JuanJuan

        Muchas gracias, soy usuario nuevo y los contenidos que he revisado cumplen por mucho mis expectativas.
        Saludos

  1. Avatar de Carlos AlcántaraCarlos Alcántara

    Buenos días, Gracias por su publicación. Dos consultas como calcula las pérdidas esperadas y por que el chi-cuadrado se acomoda en este modelo. Gracias.

    Responder

Deja un comentario