Este constraste de hipótesis es conceptualmente muy importante. Implica un entrar en profundidad en lo que supone en sí la construcción de un modelo de Regresión. También, como siempre en Estadística, implica un analizar los datos desde una serie de perspectivas siempre presentes, y por lo tanto recurrentes: Tamaño de muestra, dispersión de los valores.
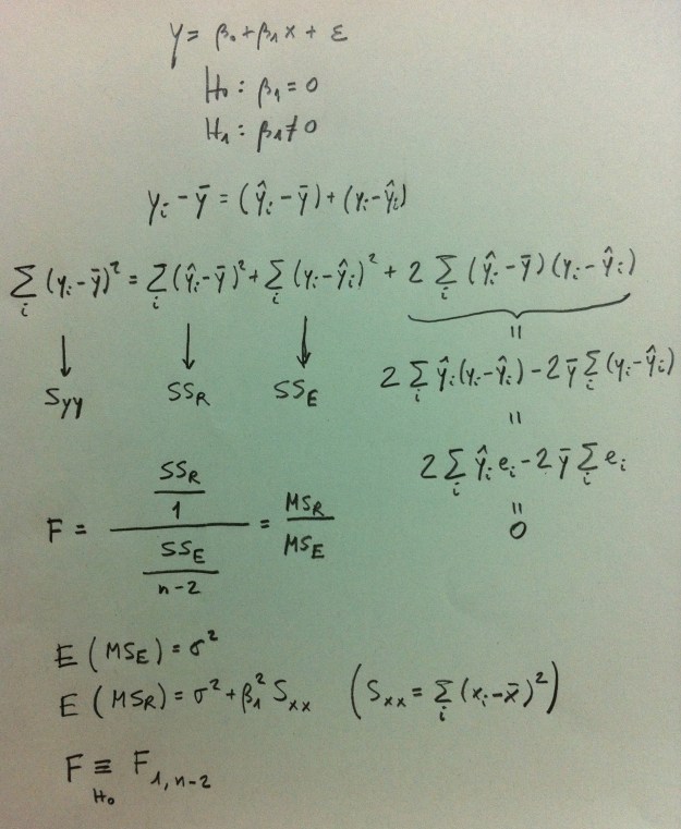
Obsérvese que en este caso acabamos descomponiendo la dispersión de los valores de la variable dependiente en dos fuentes de variabilidad y que es, precisamente, el cociente de esas dos fuentes el que nos dará la pauta de si debemos o no seguir manteniendo la Hipótesis nula, a la luz de los datos que tenemos.
Observemos muy bien lo que hay en el numerador y lo que hay en el denominador del conciente F. Veamos que cuando este cociente sea pequeño deberemos mantener la Hipótesis nula y, en cambio, cuando sea grande deberemos rechazarla. En el numerador está presente lo que explica la pendiente de la variabilidad de los datos y en el denominador está presente la dispersión no explicada, está lo que no somos capaces de explicar: el residuo.
