La correlación de Pearson es la medida del grado de relación entre variables cuantitativas más usado. Es especialmente apropiado usarlo en variables con distribución normal porque el contraste de hipótesis a través del cual se valora su significación tiene un estadístico de test que sigue la distribución que sigue en condiciones de normalidad de las variables. Por eso si no se cumple la normalidad o si las variables son ordinales es más apropiado o usar la correlación de Spearman o la correlación de Kendall.
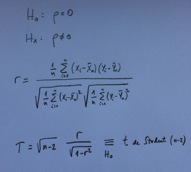
El cálculo de la correlación en una muestra se suele representar con una r, y es el cociente de la covarianza muestral respecto al producto de las desviaciones muestrales de cada una de las dos variables, como puede observarse a continuación.
En el dibujo adjunto se plantea, además del cálculo de la correlación r, el contraste de hipótesis sobre la correlación poblacional, con el estadístico de test que se usa y la distribución que ese estadístico sigue bajo la Hipótesis nula.
