Archivo de la categoría: PASEOS NATURALISTAS POR EL MUNDO DE LAS MATEMÁTICAS

HERBARIO de conjuntos

Son muchos los conjuntos que se estudian en matemáticas. Veamos ahora algunos ejemplos.

De momento, en este HERBARIO los conjuntos son vistos únicamente como colecciones de entidades, de objetos matemáticos, pero sin delimitar ni estudiar paisajes interiores que pueden difinirse en su interior. Eso lo dejamos para otro momento, ya veremos que acompañar a un conjunto cualquiera de lo que denominamos «estructura definida en un conjunto» nos permitirá trazar un amplísimo repertorio de miradas a un mismo conjunto.

Conjuntos usuales en matemáticas son, en primer lugar, los conjuntos de números:

 

Cada conjunto de números nos aporta elementos para hablar de cosas diferentes de la realidad: Los naturales nos permiten contar entidades, los enteros nos permiten hablar en abstracto (mediante la introducción de los números negativos) de elementos que debemos, elementos que faltan, etc. Los racionales nos permiten hablar de facciones. De partes de una unidad: 1/2, 3/5, etc. Los reales nos permiten medir cualquier distancia: por ejemplo, la longitud de un círculo de radio 1. Los complejos especialmente nos permiten resolver ecuaciones que sin ellos serían irresolubles. Y esto nos lleva a una cuestión matemática interesante: Cada conjunto de números viene a aportar elementos para resolver diferentes tipos de ecuaciones. Es una forma de abordar estos distintos tipos de números. Veamos las siguientes cinco ecuaciones y su representación, en ejes de coordenadas, de las funciones que hay detrás de cada una de esas ecuaciones:

Como puede verse cada una de esas cinco ecuaciones tiene solución en un determinado conjunto de números. Cada nueva ecuación precisa de un conjunto de números más amplio para encontrar una solución. Observemos que para resolver la primera nos bastan los naturales, pero para la segunda los naturales no nos bastan: necesitamos más números. Y así sucesivamente.

Veamos un mapa que posiciona estos cinco conjuntos de números:

Otros conjuntos muy importantes, en matemáticas, son los conjuntos formados por el producto cartesiano de otros conjuntos:

 

 

Veamos cómo pueden visualizarse estos conjuntos:

IMG_1971

Entre los elementos de los productos cartesianos se pueden establecer operaciones, como en los conjuntos de números:

IMG_1972

El conjunto de los números complejos C, en realidad se puede visualizar como un producto cartesiano de una parte real y de una parte imaginaria. El paralelismo entre C y RxR es evidente y muy interesante:

IMG_1973

Otros conjuntos muy importantes en matemáticas son los conjuntos formados por funciones. Conjuntos cuyos elementos son funciones. Suelen llamarse Conjunto de Funciones (Nombre del Condominio) de variable (Nombre del Dominio). Por ejemplo, si el Dominio es un conjunto llamado A y el Codominio un conjunto llamado B se denominaría el Conjunto de las Funciones B de variable A. Abreviadamente: FBVA.

Veamos un ejemplo en miniatura:

IMG_1770

En este ejemplo, el conjunto de todas las funciones con Dominio A y Codominio B está formado por las cuatro funciones explicitadas en este gráfico de dos formas distintas.

Si el Dominio y el Codominio son los cinco conjuntos de números vistos anteriormente tendremos los siguientes 25 conjuntos de funciones distintos posibles:

Evidentemente, estos conjuntos de funciones pueden tener como dominio y como codominio cualquier conjunto: un producto cartesiano de conjuntos, un mismo conjunto de funciones, etc. La de mundos que puede idear y manejar la matemática.

Por ejemplo, los tres siguientes conjuntos de funciones son muy importantes y muy usados en matemáticas:

 

De hecho, el primero es el importante conjunto de todas las funciones con dominio el plano y codominio los reales. Las llamadas funciones de variable vectorial más básicas. El segundo tiene que ver con la integrales definidas y el tercer conjunto de funciones tiene que ver con las derivadas. Pero ya lo veremos en su momento. Ahora basta con ver qué tipos de conjuntos se estudian en matemáticas. Esta es la naturaleza matemática. Poe ella pasearemos con mirada naturalista.

Un conjunto muy utilizado en matemáticas es el conjunto de polinomios. Escrito de la siguiente forma:

 

La primera presentación es la más habital. A los distintos valores de «a» con diferentes subíndices se les denomina coeficientes y son valores tomados de un conjunto determinado, normalmente del conjunto de los números reales.  La n es el grado del polinomio: el valor del subíndice más grande con el valor del coeficiente distinto de cero. La segunda presentación, que veremos a veces también, es una notación más general: representa que los coeficientes del polinomio son valores tomados de un conjunto K. Pero ambas apuntan al conjunto de todos los polinomios. Los polinomios, también lo veremos, son funciones muy importantes en matemáticas. Por eso se estudian mucho. También veremos el porqué.

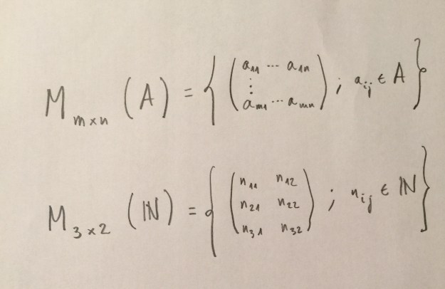
Otros conjuntos muy usuales en matemáticas son los conjuntos de matrices. Veamos primero una definición general de conjunto de matrices y, luego, una definición más concreta de un conjunto de matrices claramente delimitado:

 

El conjunto que se sitúa entre paréntesis representa el conjunto del que se toman elementos para ir llenando las distintas posiciones de la matriz. El primer conjunto de matrices que aparece en la anterior imagen es una expresión completamente general: m filas y n columnas y el conjunto A, entre paréntesis, es una expresión general de cualquier conjunto. El segundo conjunto de matrices ya es un caso concreto: El conjunto de matrices con 3 filas y dos columnas de formadas por números naturales.

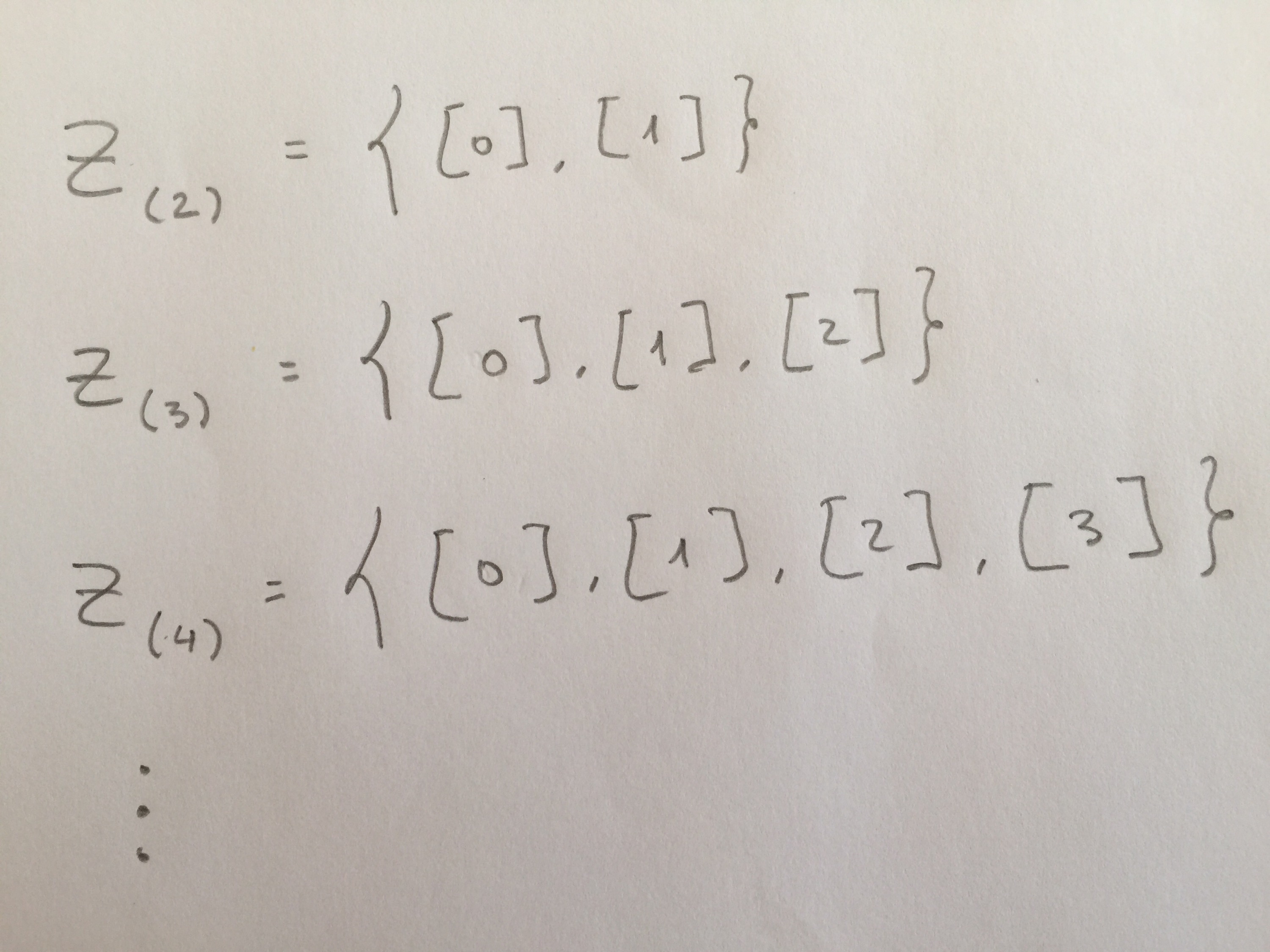
Otros conjuntos muy utilizados en matemáticas son los Enteros módulo un natural mayor que uno. Por ejemplo, los Enteros módulo 2, los Enteros módulo 3, lo Enteros módulo 4, etc:

IMG_2135

IMG_2136

Son clases de números enteros según el resto, o residuo, que tengan al dividir un entero no  negativo cualquiera por el número del módulo. Por ejemplo, los Enteros módulo 2: Al dividir cualquier entero por 2 el resto, o residuo, puede ser ó 0 ó 1. Todos los enteros no negativos que tengan el mismo resto, o residuo, formarán parte de la misma clase y, por lo tanto, en realidad son el mismo número vistos desde ese conjunto nuevo que denominamos «Enteros módulo 2».

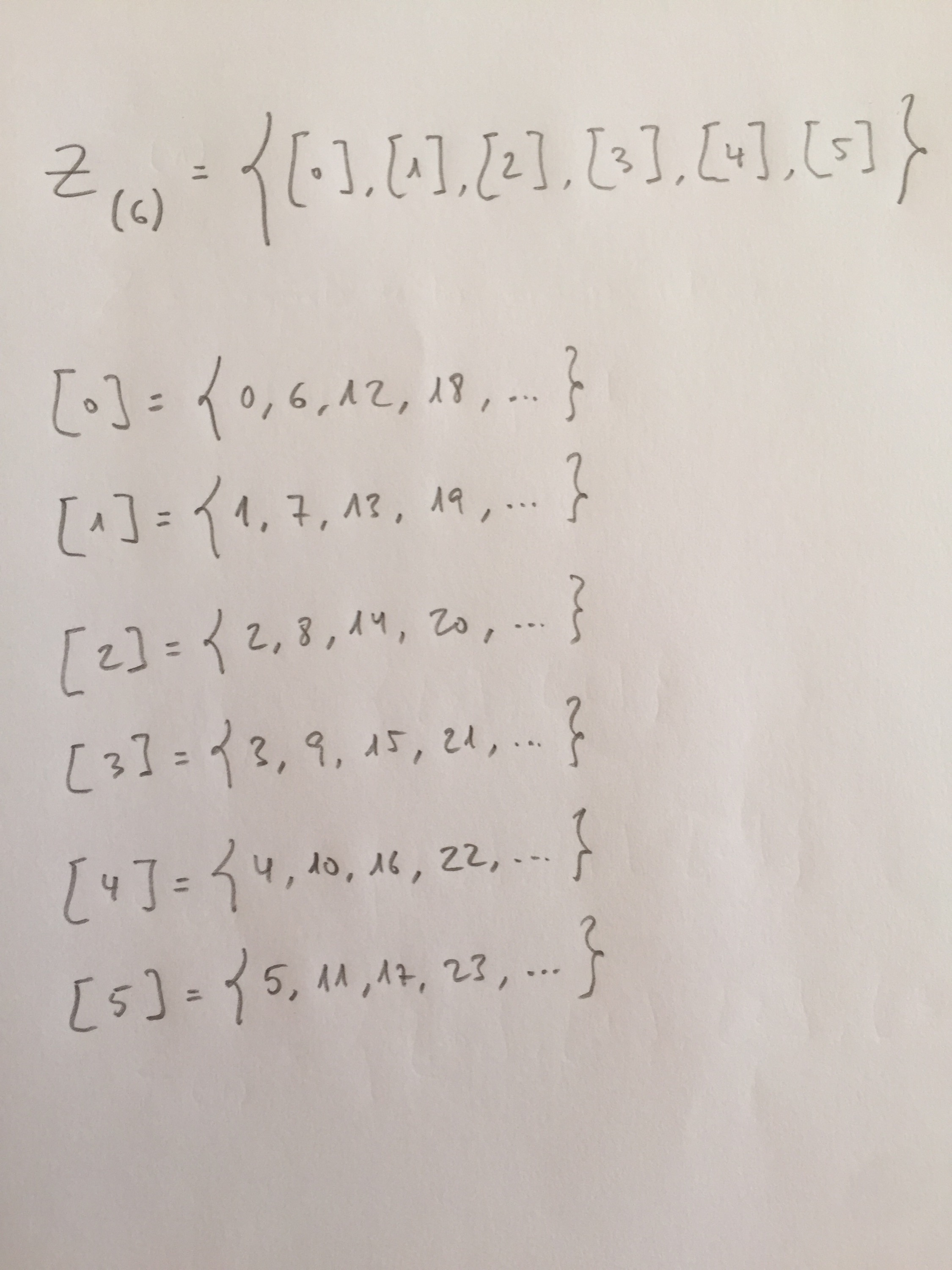
Veamos con detalle el conjunto de los Enteros módulo 6:

IMG_2137

En este conjunto, por ejemplo, podemos definir la suma y el producto. Veamos, primero, la tabla de la suma:

IMG_2140

Al evaluar una operación como la suma en un conjunto como éste debemos pensar que estamos sumando clases, por lo tanto debemos pensar qué ocurre cuando sumamos cualquier número entero de una clase con cualquier número entero de la otra clase. Por ejemplo, siempre que sumemos un número de la clase [2] con uno de la clase [5] obtendremos uno de la clase [1]. Se puede comprobar perfectamente: 2+5=7, que es de la clase [1]. 8+11=19, que es, también de la clase [1].

Lo mismo sucede con el producto. Veamos cuál es la tabla del producto:

IMG_2139

Por ejemplo, un miembro cualquiera de la clase [2] multiplicado por uno de la clase [3] nos dará un número miembro de la clase [0]. Podéis comprobarlo. Obtendremos siempre un múltiplo de 6, lo que nos lleva a un número de la clase [0], en este conjunto.

Estructuras definidas en conjuntos

Un conjunto cualquiera, en matemáticas, sin más, es simplemente una colección de elementos, una reunión desconectada de entidades, un listado de entidades. Si ese conjunto es, por ejemplo, el de los números enteros, si no especificamos nada más es una mera colección de números, como hemos visto en el HERBARIO de conjuntos.

En matemáticas a esos conjuntos se les suele ver desde una estructura definida en ellos. Una estructura en un conjunto es como una forma de mirada al interior de ese conjunto. Una forma de darle un orden. Una forma de verlo en una estructura. Es, por lo tanto, una forma de organizar el contenido de un conjunto. Es muy importante, para entender las matemáticas, tener muy claro este concepto complejo: el concepto de estructura definida en un conjunto.

En un mismo conjunto se pueden definir muchos tipos de estructuras. Por eso, dependiendo de qué estructura hayamos definido en un conjunto, en un momento determinado, ese conjunto se presentará como una realidad muy diferente.

En un conjunto se pueden definir muchos tipos de estructuras diferentes: operaciones, topologías, conjuntos de subconjuntos de ese conjunto, medidas, probabilidades, distancias, normas, etc. Ya lo iremos viendo. Según la estructura que definamos en un conjunto lo estaremos visualizando desde un determinado punto de vista. Y, por lo tanto, dependiendo de cuál sea esta estructura, la mirada a ese conjunto será ciertamente muy distinta, una  mirada que nos facilitará propiedades muy diferentes de ese conjunto.

En matemáticas un determinado conjunto A puede ir acompañado de símbolos como los siguientes:

 

Cada uno de ellos apunta a una estructura, a una mirada distinta a ese mismo conjunto A. Aparecen operaciones (+, •). A veces una operación, a veces dos operaciones. Aparecen topologías (T), clases de subconjuntos (a), medidas (μ), probabilidades (P), distancias (d), normas (⎢•⎢).

Un mismo conjunto visto desde una estructura u otra cambia completamente la mirada que hagamos a él. Mirémoslo desde la siguiente metáfora: Supongamos un grupo de 20 personas. Si lo miráramos desde la noción pura de conjunto simplemente especificaríamos el listado de nombres de esas 20 personas. Sin más. Pero esas 20 personas pueden ponerse a hablar de política y, por lo tanto, en aquel momento empiezan a crearse una serie de asociaciones entre esas personas: afinidades, distancias pequeñas entre ellos, distancias grandes entre ellos, etc. Si hablan de fútbol, las asociaciones, los subgrupos, las distancias que se establecen entre ellos son muy posiblemente completamente otras. Si se ponen a hablar de música, las posiciones relativas de esos 20 componentes del grupo pueden cambiar, y mucho, de nuevo. Pues diríamos que cada uno de estos ámbitos: la política, el fútbol, la música, etc., genera una mirada diferente a ese grupo de personas, genera una estructura diferente, una organización interna diferente dentro del grupo. Eso es lo que hace una operación, una topología, una distancia, una norma, una medida, una probabilidad, etc., en un conjunto: generar una mirada diferente a una misma realidad, generar una estructura interna distinta de sus elementos, los posiciona, relativamente, a unos respecto de otros, de forma muy diferente.

Esto es, sin ninguna duda, fundamental para entender las peculiaridades del complejo lenguaje de las matemáticas: saber qué conjunto tenemos entre manos y desde qué estructura lo estamos analizando. Ya iremos desarrollando esta noción poco a poco, pero es muy importante tener estas ideas expuestas aquí siempre presentes al hacer matemáticas. Es trascendental.

Además, una cosa muy importante: en función de esas estructuras definidas en los conjuntos se generan diferentes ramas de las matemáticas. Por ejemplo, el Álgebra es el estudio de los conjuntos vistos siempre estructurados según operaciones definidas en ellos. El Análisis funcional es el estudio de conjuntos de funciones a los que se ha definido una distancia o una norma. La teoría de la medida es el estudio de conjuntos a los que se ha definido, en primer lugar, una estructuración en base a agrupaciones de subconjuntos de esos conjuntos (a las que llamamos anillos de conjuntos) y en una medida definida en cada uno de esos subconjuntos. La teoría de la probabilidad es, igualmente, una estructuración en base a agrupaciones de subconjuntos de esos conjuntos (a los que llamamos álgebras de conjuntos (a)) y a una probabilidad definida en cada uno de esos subconjuntos.