
Archivo del Autor: estadisticallopis
Deja un comentario
Integral definida
Integral indefinida
Inecuación
Ecuación
Máximo local, mínimo local y punto de inflexión
Función derivada
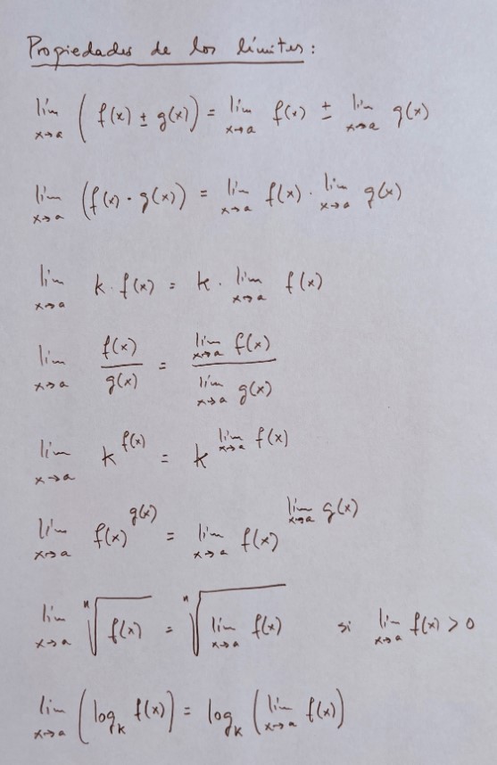
Límites y continuidad
Funciones reales de variable real
Ejercicio práctico de cálculo de la Odds ratio
1.Calcular la Odds ratio, y discutirla, de la siguiente tabla:

2.Calcular la Odds ratio, y discutirla, si la tabla fuera la siguiente:

3.Calcular la Odds ratio, y discutirla, si la tabla fuera la siguiente:

4.Calcular la Odds ratio, y discutirla, de la siguiente tabla:

5.Calcular la Odds ratio, y discutirla, si la tabla fuera la siguiente:

6.En la tabla del ejercicio 1 calcular la Odds ratio, y discutirla, si la exposición fuera no tener el litio elevado y la no exposición tener el litio elevado.
7.En la tabla del ejercicio 4 calcular la Odds ratio, y discutirla, si la exposición fuera no tener la edad avanzada y la no exposición tener la edad avanzada.




























