1. Estamos ante una situación que podemos modelizar mediante un ANOVA de dos factores fijos y cruzados. Cada factor con dos niveles. El modelo puede verse en el artículo ANOVA de dos factores a efectos fijos.
El Test de Shapiro-Wilk aplicado a los residuos del modelo proporcionan un p-valor de 0.4535 lo que permite no rechazar la hipótesis nula de ajuste a la distribución normal. Si se aplica el Test de Levene para comprobar la igualdad de varianzas el p-valor es 0.84 y si se aplica el Test de Bartlett el p-valor es 0.74. Por lo que podemos aceptar la igualdad de varianzas.
La tabla ANOVA es la siguiente:
Son significativos los tres contrastes. Los tres p-valores son menores que 0.05.
Observemos el gráfico de interacciones.
Los coeficientes del modelo son los siguientes:
Observemos que los coeficientes del modelo serán la constante 13.56, los parámetros del factor mucolítico: 9.08 y -9.08, los del factor corticoide: -3.75 y 3.75 y los cuatro de la interacción: 4.36, -4.36, 4.36 y -4.36. La componente de la varianza residual es 10.94.
2. La situación se puede modelizar mediante un ANOVA de dos factores cruzados uno fijo y el otro aleatorio. Puede verse la estructura del modelo en el artículo ANOVA de dos factores mixtos.
La tabla ANOVA y las estimaciones de las componentes de la varianza son los siguientes:
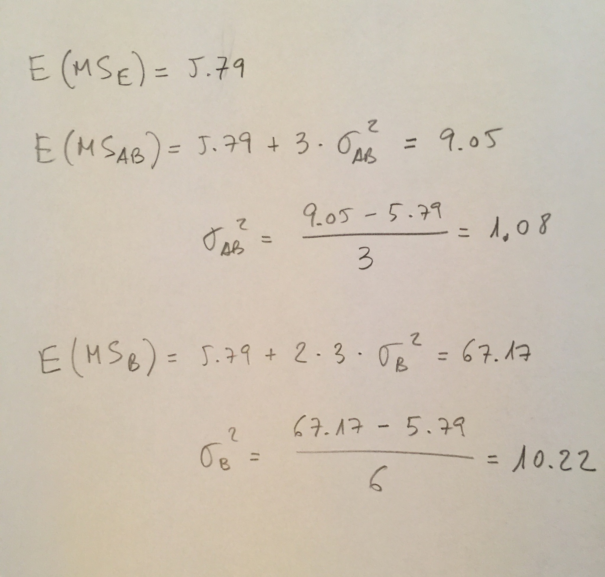
El cálculo de las componentes de la varianza, en base a las ecuaciones de las esperanzas de los cuadrados medios, es el siguiente:
Los dos parámetros para el factor fijo «método» pueden obtenerse de la media de cada uno de los dos grupos restándoles, respectivamente, la media general:
Para el cálculo que nos piden debemos suponer que hay un ajuste a la normal con la media la del método M1, que es 28.39, y como desviación estándar la raíz cuadrada de la suma de las tres componentes de la varianza del modelo (puede discutirse si tomar la de la interacción porque no es significativa); o sea, la raíz cuadrada de 10.2288+1.08435+5.79969, que es 4.13. Por lo tanto, debemos calcular el área que hay por debajo de 29 en la normal: N(28.39, 4.13).
Este área es 0,5587. O sea, un 55.87%.
3. Se trata de un diseño que se puede modernizar con tres factores fijos cruzados. La tabla ANOVA es la siguiente:
Hay dos factores significativos: el fondo y la estación. Las comparaciones múltiples para estación dan el siguiente resultado:
La tabla de medias es la siguiente:







